为了研究,常需要得到脂蛋白纯品并进一步分离纯化载脂蛋白,迄至目前为止,采用密度梯度超速离心分离纯化各种脂蛋白仍是一种很好的方法。
超速离心法可分为制备型和分析型两种,根据其所用介质密度不同,可以分为等密度离心,密度梯度离心等。根据所用转头的类型不同可以分为角头、甩平头、垂直头和区带头离心法。脂蛋白分离中,采用密度梯度超速离心法较多。
离心作用是根据稳定角速度下做圆周运动的任何物质都受到一个外向的离心力F,这种力的大小取决于角速度(以弧度ω表示)和旋转半径r(以cm计算)。
F=ω2r
F常用地球引力表示,称为相对离心力(RCF)或者常用“数字×g”来表示。
RCF=ω2r/980
在使用该公式时,这些关系需用“每min转数(r/min)”表示,这是表示离心机转动速度的普通方式。
由于(r/min)的数值可转换成弧度,利用ω=π(r/min)/30公式代入上式,得到下述换算式:
RCF-(πr/min)2×r/302/980=(1.119×10-5)(r/min)2·r
对于在离心转头中旋转的样品,估计其所受到的相对离心力需要考虑样品到旋转中心的固定距离(r)。由于转头的形状设计,离心管中从管顶主管底各点旋转中心的距离是不同的。例如在固定的角式转头中,作用于离心管顶部和底部的离心力的差别接近一倍。为了计算相对离心力的数值可用平均相对离心力(RCF平均)来表示,即同一离心转头顶部和底部所受离心力的平均值。因此,最重要的将是确定半径(r)的数值。
形成密度梯度操作,可采用两种方法,一是利用自动形成器,此装置是在一根管道上装有两个容器,各以T型管与此管道相通,两容器分别装入轻液和重液,按比例进入混合器,并用蠕动泵将溶液注入超离心管内,形成不同密度液,加入到超离心管中,使其离心管中液体成密度梯度离心分布。二是采用手工操作,先配成不同密度溶液,人工一层层铺盖到超离心管内,使超离心管中成为不同密度梯度的溶夜。
超速离心后样品的收集可根据不同的实验条件采用下述几种方法。
(1)切割法:在固定的刀架上,将已离心好的样品管放在所要求的高度(按管内分离区带确定)用刀切断离心管,取出样品。
(2)虹吸法:用蠕动泵或吸管将样品从上至下逐层按区带吸出并分管收集。泵管或吸管注意每区带一管,不能混用。
(3)穿剌法:用针头在超速离心管底部穿一小孔,让液体从底部流出,并按区带分部收集。
分管收集到的各区带样品,可采用折光仪,测出折光系数,从表中查出相应溶液的水合密度,从而确认各组份的分布样品的水合密度。
1.试剂
0.5mol/LEDTA(pH8.0):186g EDTA-Na2加入去离水950ml,用NaOH调准pH值,再加水到1L。
溶液①(d=1.006):NaCl 11.40g,0.5ml0.5mol/L EDTA液,加去离子水1l,EDTA可抑制脂蛋白中脂质的氧化。
溶液②(d=1.182):NaBr24.98g溶于溶液①100ml中。
溶液③(d=1.478):NaBr78.32溶于溶液②100ml中。
0.15mol/LNaCl,0.3mlEDTA:8.77g NaCl、0.6ml的0.5mol/l EDTA(pH8.0),再加双蒸水到1L。
d=1.019液:1.851gKBr溶于溶液①100ml中。
d=1.063液:8.343gKBr溶于溶液①100ml中。
d=1.215液:33.496gKBr溶于溶液①100ml中。
以上溶液的密度,必要时用折射仪检测。
2.操作
取10mlEDTA Na2抗凝(1mg/ml)采血,离心(3000r/min)10min,分离得血浆。取血浆4ml加入容量10ml的超离心管中的底层,上面铺盖2ml溶液①(d=1.006)液,20kr/min(26kXg)离心30min(4℃),不用制动器让其旋转减速,以防飘浮物与下浮层相混;取出下层4ml混合血浆待用;超离心管中残留2ml,再取溶液①2ml沿管壁加入,仔细混匀分散脂蛋白,又加溶液①2ml铺在表面,20kr/min,4℃,离心1h,取出上层液直至变界处,此即CM组份。再将第一次离心所得的下层4ml混合血浆取出,其上铺2ml溶液①,40kr/min(100k×g),18℃离心17h,取上层1ml液,此即VLDL组份。再取出1ml至交界处,弃去,将管内剩余的4ml混合液移入另一超离心管内,取2ml溶液②(d=1.182)洗出离心管中残余的脂蛋白,加入到装4ml混合液超离心管内,混匀,40kr/min,18℃,离心21h,取出上层(d=1.062)1ml混合液,此即LDL组份。继续将中间层1ml除去,残存的4ml转入到另一超离心管内,用d=1.478(溶液③)2ml洗涤原管,尔后移入4ml残存液管内,仔细混匀,40kr/min,18℃,离心41h,上层(d=1.20)部分吸出,即HDL组份。下层为VHDL(very high density Lipoprotein)与其他血浆脂蛋白。LDL与HDL分别对0.15mol/lNaCl-0.3mmol/L EDTA(pH8.0)透析,4℃保存。
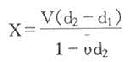
用EDTA抗凝血,离心得血浆,可采用大容量(300ml)超离管进行。血浆容量依次要加定量的KBr(Xg),可按下述公式计算:

V为血浆容量(ml)数,d1、d2分别为该配制的最初的两种溶液密度,υ为调节密度用的KBr的目的试剂水密度的偏比容。血浆d=1.006。首先调节溶液密度到d2=1.019,离心除去。VLDL,d2=1.019的υ为0.2922,即1ml血浆中应当加KBr0.01851g,溶解后,每管注入约16ml将d=1.019溶液8ml(0.5体积)覆盖其上,40kr/min,18℃,离心16h,再除去黄色层以上的上层界面液,测量下层黄色层液ml数,再按上式计算添加0.0644g/mlKBr,以成d=1.063的溶液(υ=0.2982)同样每管(16ml)加8ml的d=1.063溶液覆盖其上,40kr/min,18℃,离心16h,取上层黄色区带,并对0.15mol/lNaCl,0.3mmol/L EDTA(pH8.0)充分透析,该黄色脂蛋白即LDL,可用作LDL受体的配体。
添加KBr量计算式中的偏比溶(υ),d=1.019、1.063、1.125、1.210、1.215的值相应为0.2922、0.2982、0.3035、0.3090、0.3093。
1.试剂
1%DS、10%DS、2mol/L CaCl2、1mol/L K2C2O4、12%NaCl、0.2mol/l Tris-HCl、0.9%NaCl、0.01mol/L EDTA(pH7.4)
2.操作
混合血清在3000r/min下,离心30min,除去血细胞及其他固体物质,再以2000r/min离心30min(4℃),以除去血清中的CM。
取一定体积的上述血清,加1%DS,使血清中的DS浓度为0.05%,加2mol/lCaCl2,使血清中CaCl2的终浓度为0.1mol/L,搅拌后放4℃冰箱过夜,于第二天离心(3750r/min)30min,将离心后的沉淀物溶解在12%NaCl中,而后加0.2mol/l Tris-HCl缓冲液250ml(pH7.4),离心10min,弃去上清,将所得沉淀用0.02mol/l Tris-HCl再洗一次,此步骤要重复3次。将最后得到的VLDL和LDL溶解在7.5~15ml的1mol/L草酸钾中(4℃),3750r/min离心30分钟,去掉沉淀,然后将此溶液在1%NaCl,1%BaCl2溶液中透析48h(4℃)。将透析过的溶液放于离心管中去掉沉淀。把上清液再放入0.02mol/l Tris-HCl缓冲液透析72h,离心,其上清则含有较纯的VLDL和LDL
1.用途:无脂蛋白血清(lipoprotein deficient serum,LPDS)主要用于LDL受体活性测定的细胞培养。
2.操作:常规采血,室温放置1~2h,以3kr/min离心10min,分离得到血清。向血清中按每1ml加0.33496g KBr,使其血清密度为d=1.215,或者按等体积加d=1.215的KBr液,按前述两方法铺在血清上面,按40kr/min(100k×g)速度,离心40h。离心完毕,将淡黄色上层脂蛋白与无色的中间层除去,下层液上再铺d=1.215溶液,重复上述离心操作。将下层液,对0.15mol/l NaCl,0.3mmol/L EDTA(pH8.0) 溶液透析,用过滤器除菌,尔后分成小包装贮存在-20℃备用。
六、其他方法
除上述介绍的常用方法外,还有凝胶过滤和高压液相层析法分离血浆脂蛋白的方法,有关参考书很多,在此不一一介绍。