临床上将C10以上的脂肪酸称为游离脂肪酸(free fatty acid,FFA)或非酯化脂肪酸(nonesterifiedfatty acid,NFFA),正常血清中含有油酸(18:1,W9)占54%,软脂酸(16:0)占34%,硬脂酸(18:0)占6%,是其主要的NFFA。另外还有月桂酸(12:0)、肉豆蔻酸(14:0)和花生四烯酸(20:4,W6,9,12,15)等含量很少的脂肪酸。与其他脂质比较,NFFA在血中浓度很低,其含量水平极易受脂代谢,糖代谢和内分泌机能等因素影响,血中NFFA半寿期为1~2min,极短。血清中的NFFA是与清蛋白结合进行运输,属于一种极简单的脂蛋白。
测定血清NFFA法有滴定法。比色法,原子分光光度法,高压液相层析法和酶法等。一般多以酶法测定。作NFFA测定的标本一定要注意在4℃条件下分离血清并尽快进行测定。因为血中有各种脂肪酶存在,极易也极快使血中TG和PL的酯型脂肪酸分解成非酯化的FFA,使血中NFFA值上升。贮存标本仅限于24h内,若保存三天,其值约升高30%,使结果不准确。
1.非酶法测定
非酶法测定包括滴定法、比色法、原子吸收分光光度法和高压液相层析法。前三种方法准确性差;高压液相层析法,仪器太昂贵,不便于批量操作。
2.酶测定法
主要用脂肪酶测定。血清中游离脂肪酸可分别测定酶水解后的产物乙酰CoA或AMP或辅酶A(CoA)进行定量。酶法测定结果准确可靠,快速,易于批量检测。测定原理如图15-6所示。

图15-6 血清主要FFA酶法测定图
□:内物质作为生成量与变化量进行测定;ACS:乙酰CoA合成酶;MK:肌激酶; PK:丙酮酸激酶;POD:丙酮酸氧化酶;DTNB:α-磺基苯甲酸;ACO:乙酰CoA氧化酶;ACD:乙酰CoA脱氢酶。
1.原理
血清中游离脂肪酸经抽提到高密度铜试剂中,形成铜皂在上层溶剂中,再用二苯卡巴肼与铜显色,进行定量。
2.试剂组成
| 代号 | 种类 | 浓度 | 组成 | 贮存2~8℃ | 有效期 |
| R-1 | 抽提剂 | 氯仿:庚烷:甲醇=5:5:1(V/V) | |||
| R-2 | 缓冲液 | 33mmol/L | KH2PO44.539g/L 100ml+Na2HPO4·2H2O5.983g/l 50ml调pH至6.4 | ||
| R-3 | 铜贮液 | 500mmol/L | Cu(NO3)2·3H2o 12.07g加H2O→100ml | ||
| R-4 | 三乙醇胺 | 1.0mol/L | 三乙醇胺10ml,加水→100ml | ||
| R-5 | NaOH液 | 1mol/L | |||
| R-6 | 铜试剂 | R-3 10ml+R-4 10ml+R-6 6ml +H2O→100ml调pH至8.1 | |||
| R-7 | 二苯卡 巴肼液 | 二苯卡巴肼(乙醇)液(4g/L)10ml+R-4 0.1ml | 临用前配制 | ||
| R-8 | 软脂酸标准贮存液 | 2mmol/L | 软脂酸51.2mg溶于100ml R-1液 | 冷藏 | |
| R-9 | R-8的应用液 | 500μmol/L | 用R-1液稀释 | 冷藏 |
3.操作
按图15-7操作。
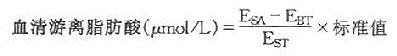
4.计算
血清游离脂肪酸(μmol/L)=ESA/EST×500
1.原理
血清中游离脂肪酸或非酯化脂肪酸(NEFA),经酶试剂作用生成紫色化合物,其颜色深浅与NEFA含量成正比。

2.试剂组成
| 代号 | 种类 | 组成 | 浓度贮存 | 贮存 |
| R1 | 缓冲液 | 磷酸缓冲液 MgCl2液 去垢剂 | 0.04mmol/LpH6.9 3mol/L | |
| R2 | 酶/辅酶 | 乙酰CoA合成酶 抗坏血酸氧化酶 CoA ATP 4-AAP 溶于10ml R1液中 | ≥0.3U/ml ≥1.5U/ml 0.9mmol/L 5.0mmol/L 1.5mmol/L | 冷藏5日 |
| R3 | 酶稀释液 | 苯氧乙醇 去垢剂 | 0.3%(V/V) | |
| R4 | 马来酰亚胺 该试剂与R3等体积混合 | 10.6mmol/L | ||
| R5 | 酶试剂 | 乙酰CoA氧化酶 过氧化物酶 TOOS 混合上述试剂,再等体积R4试剂混合 | ≥10U/ml 7.5U/ml 0.2mmol/L | 冷藏5日 |
| R6 | 标准液 | 1mmol/L | 冷藏 |
*应用带玻塞离心管
3.操作
按图15-8操作。
4.计算


图15-7 血清非酯化脂肪酸测定(光度法)操作图

图15-8 血清非脂化脂肪酸测定(酶法)操作图
(胡汉宁 储建中)