随访病例较少时,可按下法求不同时期的生存率(或缓解率)及其统计学意义分析。
例23.3某单位用甲、乙两法治疗何杰金病。甲法治疗15例中已复发9例;乙法治疗14例,有4例复发。两组随访情况如表23-3。
先以甲疗法为例说明不同随访时期的缓解率及其标准误。演算结果如表23-4。
表23-4 甲、乙两法治疗何杰金病随访天数
| 甲疗法 | 乙疗法 | ||
| 已复发者 | 尚未复发者 | 已复发者 | 尚未复发者 |
| 141 | 1446+ | 505 | 615+ |
| 364 | 836+ | 296 | 570+ |
| 950 | 498+ | 1375 | 1205+ |
| 570 | 173+ | 688 | 1726+ |
| 312 | 1540+ | 1190+ | |
| 570 | 836+ | 822+ | |
| 173 | 1408+ | ||
| 401 | 1493+ | ||
| 86 | 1645+ | ||
| 1570+ | |||
尚未复发者随访天数后加“+”号,表明缓解天数至少多于随访天数
表23-4 甲疗法治疗何杰金病不同时期缓解率计算
| 病序(1) | 随访天数n(2) | 复发例数r(3) | 期初病例数R(4) | 复发概率qx(5) | 缓解概率px(6) | 累计缓解概率np0(7) | 标准误snp0(8) |
| 1 | 86 | 1 | 15 | 0.0667 | 0.9333 | 0.933 | 0.064 |
| 2 | 141 | 1 | 14 | 0.0714 | 0.9286 | 0.867 | 0.088 |
| 3 | 173 | 1 | 13 | 0.0769 | 0.9231 | 0.800 | 0.103 |
| 4 | 173 | … | 12 | 0.0000 | 1.0000 | 0.800 | - |
| 5 | 312 | 1 | 11 | 0.0909 | 0.9091 | 0.727 | 0.117 |
| 6 | 364 | 1 | 10 | 0.1000 | 0.9000 | 0.654 | 0.126 |
| 7 | 401 | 1 | 9 | 0.1111 | 0.8889 | 0.581 | 0.131 |
| 8 | 498+ | … | 8 | 0.0000 | 1.0000 | 0.581 | — |
| 9 | 570 570 | 2 | 7 | 0.2857 | 0.7143 | 0.415 | 0.136 |
| 10 | |||||||
| 11 | 836 836 | … | 5 | 0.0000 | 1.0000 | 0.415 | — |
| 12 | |||||||
| 13 | 950 | 1 | 3 | 0.3333 | 0.6667 | 0.277 | 0.145 |
| 14 | 1446+ | … | 2 | 0.0000 | 1.0000 | 0.277 | — |
| 15 | 1540+ | … | 1 | 0.0000 | 1.0000 | 0.277 | - |
1.按随访天数从小到大依次排列,如遇复发者天数和未复发者随访天数相同时,以复发者排在前面。
2.填写不同随访天数的复发例数及期初病例数如表23-4的(3)、(4)栏。
3.求出不同随访天数的复发概率qx(复发例数÷期安病例数)和缓解概率px(1-qx)如(5)、(6)栏。
4.根据公式(23.6)求出累计缓解概率np0如(7)栏。
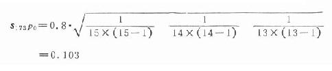
5.按下式求不同时点累计缓解率的标准误。

本例173天时点累计缓解率的标准误:

同法可以求得乙疗法的累计缓解率及其标准误,学者试自演算求解。
6.缓解率曲线描绘以横轴为随访天数(n),纵轴为累计缓解率(np0),将两疗法的演算结果各点的坐标准确标出,然后将各点向右连成与横轴平行的阶梯形,得出两组缓解曲线如图23-1。可以看出乙疗法累计缓解率水平始终在甲法之上。

图23-1 甲、乙疗法累计缓解率的比较
如果要分析两疗法差异有无统计学意义,可用时序检验法(log rank test)。假定两组疗法效果相同,求各时点预期复发数,再进一步作x2检验。演算如表23-5。
表23-5按检验假设算得甲、乙两组的预期复发数(即理论值)和实际数,分别为:
A甲=9,T甲=5.138;A乙=4,T乙=7.817
代入x2检验公式

查x2值表,x20.05(1)=3.84,今x2>4.675,P<0.05,表明两法累计缓解率曲线的差别有统计学意义。
表23-5 甲、乙两疗法预期复发数计算表
| 疗法分组(1) | 观察天数(2) | 复发例数 | 期初病例数 | 预期复发数 | |||||
| 甲组(3) | 乙组(4) | 合计(5)=(3)+(4) | 甲组(6) | 乙组(7) | 合计(8)=(6)+(7) | 甲组(9)=(5)(6)/(8) | 乙组(10)=(5)(7)/(8) | ||
| 甲 | 86 | 1 | 1 | 15 | 14 | 29 | 0.517 | 0.483 | |
| 甲 | 141 | 1 | 1 | 14 | 14 | 28 | 0.500 | 0.500 | |
| 甲 | 173 | 1 | 1 | 13 | 14 | 27 | 0.481 | 0.519 | |
| 甲 | 173+ | … | 12 | 14 | 26 | … | … | ||
| 乙 | 296 | 1 | 1 | 11 | 14 | 25 | 0.440 | 0.560 | |
| 甲 | 812 | 1 | 1 | 11 | 13 | 24 | 0.458 | 0.542 | |
| 甲 | 364 | 1 | 1 | 10 | 13 | 23 | 0.435 | 0.565 | |
| 甲 | 401 | 1 | 1 | 9 | 13 | 22 | 0.409 | 0.591 | |
| 甲 | 498+ | … | 8 | 13 | 21 | … | … | ||
| 乙 | 505 | 1 | 1 | 7 | 13 | 20 | 0.350 | 0.650 | |
| 甲 甲 | 570 >570 | 1 >2 1 | 1 > 1 | 7 | 12 | 19 | 0.737 | 1.263 | |
| 乙 | 570+ | … | 5 | 12 | 17 | … | |||
| 乙 | 615+ | … | 5 | 11 | 16 | … | |||
| 乙 | 688 | 1 | 1 | 5 | 10 | 15 | 0.333 | 0.667 | |
| 乙 | 822+ | … | 5 | 9 | 14 | … | … | ||
| 甲 | 836+ > 836+ | … … > … | 5 | 8 | 13 | … | … | ||
| 甲 | |||||||||
| 甲 | 950 | 1 | 1 | 3 | 8 | 11 | 0.273 | 0.727 | |
| 乙 | 1190+ | … | 2 | 8 | 10 | … | … | ||
| 乙 | 1205+ | … | 2 | 7 | 9 | … | … | ||
| 乙 | 1375 | 1 | 1 | 2 | 6 | 8 | 0.250 | 0.750 | |
| 乙 | 1408+ | … | 2 | 5 | 7 | … | … | ||
| 甲 | 1446+ | … | 2 | 4 | 6 | … | … | ||
| 乙 | 1493+ | … | 1 | 4 | 5 | … | … | ||
| 甲 | 1540+ | … | 1 | 3 | 4 | … | … | ||
| 乙 | 1570+ | … | 0 | 3 | 3 | … | … | ||
| 乙 | 1645+ | … | 0 | 2 | 2 | … | … | ||
| 乙 | 1726+ | … | 0 | 1 | 1 | … | … | ||
| 总和 | (A)9 | (A)4 | 13 | 15 | 14 | 29 | (T)5.183 | (T)7.817 | |