计量资料的频数分布有集中趋势和离散趋势两个主要特征,只有把两者结合起来,才能全面地认识事物,通过例18.8可进一步说明这一问题。
例18.8 有3组同龄男孩体重(kg)如下,其平均体重x都是30(kg),试分析其离散趋势。
| 甲组 | 26 | 28 | 30 | 32 | 34 |
| 乙组 | 24 | 27 | 30 | 33 | 36 |
| 丙组 | 26 | 29 | 30 | 31 | 34 |
虽然三组资料的均数相等,即集中趋势相同,但各组内数据参差不齐的程度(变异度)不同,也就是说三组的离散趋势不同。
描述一组同质计量资料离散趋势的常用指标有全、四分位数间距方差和标准差,其中方差和标准差最常用。
亦称极差,用R表示。全距是一组观察值中最大值与最小值之差,用于反映个体变异范围的大小。全距大,说明变异度大;反之,说明变异度小。如例18.8中乙组全距为12(kg),比甲、丙两组8(kg)大,表明乙组变异度大。全距适用于任何分布的计量资料(末端无确切数值者除外)。
用全距来表达变异度的大小,简单明了,故曾广为使用。但它不能反映组内所有数据的变异度,如上述甲、丙两组变异度的差异就反映不出来;其更大的缺点是易受个别特大或特小数值的影响,往往样本越大,全距亦会越大。
四分位数间距是上四分位数Qu(即P75)与下四位数QL(即P25)之差,其间包括了全部观察值的一半,用Q表示。它和极差类似,数值越大,说明变异越大;反之,说明变异越小。四分位数间距比极差稳定,但仍未考虑到每个观察值的变异度。它适用于偏态分布资料,特别是分布末端无确定数据不能计算全距、方差和标准差的资料。
例18.9 求表18-4中数据的四分位数间距。
QL=P25=12+12/58(164×25%-25)=15.3(小时)
Qu=P75=24+12/40(164×75%-83)=36.0(小时)
Q=Qu-QL=P75-P25=20.7(小时)
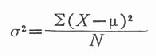
为了克服极差的缺点,需全面地考虑组内每个观察值的离散情况。因为组内每一观察值(亦称变量值)与总体均数的距离大小都会影响总体的变异度,故有人提出以各变量值离均差(X-μ)的平方和除以变量值的总个数N,来反映变异度大小,称为总体方差,用σ2示之。

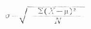
由式可见,各个离均差平方后,原来的度量单位变成了平方单位。为了用原单位表示而将总体方差开方,称为总体标准差。

以上是总体方差和标准差。实际工作中经常得到的是样本资料,μ是未知的,只能用样本均数x来代替μ,用样本含量n代替N,按公式(18.11)算得的标准差常比σ小,美国统计学家W.S.Gosset提出用n-1代替n,求得样本标准差s,即

式中的n-1,在统计学上称为自由度(degree of freedom)
数学上可以证明离均差平方和Σ(X-x)2=ΣX2-(ΣX)2/n,故公式(18.2)可演变为:
直接法
加权法
方差与标准差适用于对称分布,特别是正态或近似正态分布资料。
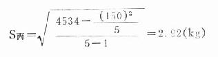
例18.10 试分别计算例18.8中三组男孩体重资料的标准差。
甲组:n=5,ΣX=26=28+30+32+34=150
ΣX2=262+282+302+322+342=4540
按式(18.13)

乙组:n=5,ΣX=150,ΣX2=4590

丙组:n=5,ΣX=150,ΣX2=4534

以上计算表明:S丙<S甲<S乙亦即乙组的变量度最大,甲组次之,丙组最小。
例18.11 求表18-2中110名20岁健康男大学生身高的标准差。
由表18-2,已知Σf=110,ΣfX=19000,再用第(2)栏乘第(4)栏后相加得ΣfX2。如本例,ΣfX2=163×163+165×660+……+183×366=3283646代入式(18.14)

(一)表示观察值的变异程度(或离散程度)
1.在两组(或几组)资料均数相近、度量单位相同的条件下,标准差大,表示观察值的变异度大,即各观察值离均数较远,均数的代表性较差;反之,表示各观察值多集中在均数周围,均数的代表性较好。
2.若比较度量单位不同或均数相差悬殊的两组(或几组)观察值的变异度时,需计算变异系数(coefficient ofvariation用CV表示)进行比较,其计算公式为:
CV= s/x×100% 公式(18.15) 公式(18.15)
式中s为样本标准差,x为样本均数。
例18.12 某地调查20岁男大学生110名,其身高均数为172.73(cm),标准差为4.09(cm);其体重均数为55.04(kg),标准差为4.10(kg),欲比较两者变异度何者为大,宜先计算变异系数再比较。
身高CV=4.09/172.73×100%=2.37%
体重CV=4.10/55.04×100%=7.45%
由此可见,该地20名男大学生体重的变异度大于身高的变异度,说明身高这个指标比较稳定。
(二)结合均数描述正态分布的特征和估计医学正常值范围,详见第三节。
(三)结合样本含量n计算标准误,详见第十九章。