医疗单位制剂室必须设立药检室,直属药剂科领导。并按制剂室规模高立化学分析间、仪器间、无菌间、留样观察定,动物饲养实验室等。
(一)药检室应配备药师以上的人员从事药检工作。
(二)药检室必须配备与所配制的制剂相适应的检验设备。如分析天平、酸度计、紫外分光亮度计、自动旋光仪、显微镜、干燥箱、恒温培养箱、霉菌培养箱、冰箱、不溶性微粒检查装置、净化工作台、澄明度检测装置等。
(三)动物饲养实验室必须清洁卫生,通风良好,室温国差应符合实验要求,应有排水、污、采光、调温等设施。并应有专人管理。按编号挂牌、定期淘汰、更新,并有使用记录。
(四)制剂的成品要按规定进行全检,合格后方可使用。
(五)药检室必须有完整的检验卡。检验记录应编号归档,内容包括;质量标准来源,鉴别试验、测试数据;数据处理。结论等原始资料。
(六)根据检验结果应出具检验报告书,检验人、复核人签字后送药检室负责人审核签字(检验报告书一式二联,第一联存根、第二报告书)。全部的原始记录、检验报告单,按批号装订成册保存三年。检验记录应字迹清楚,内容真实完整并签字,不得撕毁和任意涂改。如需要更正时,应有更改人签字,并须使被更正的部分可以辨认。
(七)药检室对所配的制剂必须建立留样观察制度,指令专人管理,制剂在储存条件下的南量变化规律。留样数量,大输液每批4瓶。针剂(眼药制剂)每批20支。其它制剂品种视其质量稳定情况酌情留样。留样时间:灭制剂品种在本批号制剂用完后,留样留半年后可撤去。其它制剂品种可酌情而定。留样观察:在观察期内选取适当的批数进行规定项目的检验,大输液每月检查一次,其它制品种每月检查一次,认真填定记录,并保存三年。
(八)对制品种必须建立质量档案。内容包括原辅料情况、工艺、质量标准、检验方法的改进、留样观察结果及质量事故返工等。
(九)对质量事故和药物不良反应,应及时向医院药事管理委员会、院长和卫生行政部门汇报。
药品分析前,应对其外形特征如:色、嗅、味、批号、包装等情况进行说细观查。药品检验操作可作检品采取、鉴别、检查及含量测定等几个步骤。
(一)检品采取
1.检品采取要随机抽样。
2.乳浊液、混悬液等药品。要摇匀后采取。
3.散剂或颗粒状固体的检品,在采取前要经过粉碎、缩分。
4.检品取量。
(二)检品最低取样量,取决于下列条件:
1.颗粒愈大,最低取样量应愈大。
2.药品均匀度愈差,最低取样量应愈大。
3.分析要求准确愈高,允许误差愈小,最低取样量应愈大。
(三)鉴别
1.感官检查检查外形特征如色、臭、昧等。
2.物理常数测定及光谙分析如比重、折光率、比旋度及紫外、红外光谱分析等。
3.化学特性试验是根据检品化学反结构特征与试剂产生反应,以示鉴别。常采用的方法有:试管法、点滴反应、显微结晶反应、及荧光反应法等。
(四)检查
一般检查其氯化物、硫酸盐、铁盐、重金属、砷盐、水分、鞣质、草酸盐及蛋白质等。常用的制剂则可按不同剂型做规定项目的检查。
(五)含量测定
药品经鉴别及检查后,方可按各有关项下规定的方法做含量测定。
(六)注意事项
1.检验人员操作时须谨慎仔细,并随时详细、真实而整洁地做好检验记录。
2.记录的内容可按不同需要而定,一般包括:检品名称、规格、制造日期、批号,检验目的、送检数量,包装。并记录检验方法,检验者校对者等项。
3.检验人员每当检验完毕,要经详细校对,填写检验报告。并注明“可供药用”,“可供注射用”或、“检验不合格”等字样。
报告单需有检验者,校对者的签署,文字均应书定清晰不得涂改。
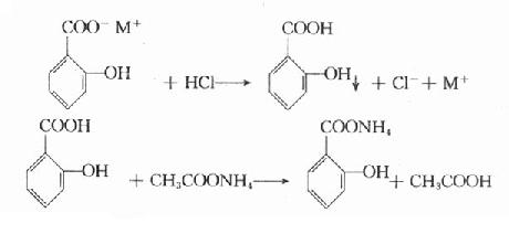
(一)钾盐
(1)取铂丝,用盐酸湿润后,蘸取供试品,在无色炎焰中燃烧,火焰即显紫色。但有少量钠混合时,须隔蓝色玻璃透视方能辨认。
2K++[PtCI6]2-→K2PtCI6
(2)取供试品溶液,加亚硝酸钴钠试液与醋酸,即发生黄色沉淀。
2K++Na++[Co(NO2)6]3-→K2Na[C(NO2)6]↓(黄色)
该反应在中性或微酸性溶液中进行,因而碱和酸均能分解试剂中的[Co(NO2)6]-3离子,妨碍鉴定。
在碱性中:
[Co(NO2)6]3-+3OH-→Co(NH)3↓+6NO-2
在酸性中:
[Co(NO2)6]3-+6H+→Co+3NO↑+3NO2↑+3H2O
NH+4能干扰反应,NH的存在能与NH+4[Co(NO2)6]作用,生成生成(NH4)Na[Co(NO2)6]沉淀。在鉴定K前应除NH(可用灼烧法除去),I也有干扰作用(可在蒸发皿中加NHO3蒸发至干而除去)。
(3)取供试品,加热除去可能杂有的盐,放冷后,加水溶解,再加深.1%四苯硼钠溶液与醋权即生白色沉淀。
NaB(C6H5)4+K+→KB(C4H5)6↓+Na+
反应条件须在酸笥(PH2-6.)中进行。
(二)钙盐
(1)取铂丝,用盐酸湿润后,蘸取供试品,在无色火焰中燃烧,火焰即显砖红色。Ca2++[PtCI6]2-→CaPtCI6
(2)取供试品的中性或碱性溶液,加草酸铵试液,即发白色沉淀;分离,所得的沉不溶于醋酸,但溶于酸。
Ca2++(NH4)2C2O4→CaC2O4↓(白色)+2NH4+
CaC2O4+2HCI→CaCI2+HC2O4
(三)钠盐
取铂丝,用盐权湿润后,蘸取供试品,在色火焰中燃烧,火焰即显鲜黄色。
s 2Na++[PtCI6]2-→Na2PtCI6
取供试品的中性溶液,加醋酸铀锌试液,即发生黄色沉淀。
Na++Zn(C2H3O2)2+3UO2(C2H3O2)2+CH3COOH+9HO2→NaZn(UO2)3(CH3COO-)9·9H2O↓9(黄色+H+(醋酸铀酰锌钠)
(若为钠盐之稀溶液,宜在水浴上浓的后再检查,如氯化钠注射液)。
(四)铁盐
1.亚铁盐(二价铁盐)
(1)取供试品溶液,加铁氰化钾试液,即发生深蓝色沉淀。分离,沉淀在稀盐中不溶,但氢氧化钠试液,即分解成色棕色沉淀。

(2)取供试品溶液,加强团结%邻二氮菲的乙醇溶液数滴,即显桔红色。

取供试品溶液,加亚铁氰化钾试液,即发生深蓝色沉淀,分离,沉离,沉淀在稀盐酸不溶,但加氢氧化钠试液,即分解成棕色沉淀。
4Fe3++3K4Fe(CN)6→Fe4[F(CN)6]3↓(深蓝色)+12K+
Fe4[Fe(CN)6]3+12N2OH→3Na4Fe(CN)3+4Fe(OH)3↓
(2) 取供试品溶液,加硫氰酸铵试液,即成血红色。
Fe3++NH4SCN→Fe(SCN)2+(血红色)
(五)铵盐
(1)取供试品,加过量的氢氧化钠试液后,加热,即分解,发出氨臭,遇显润的红色石蕊试纸,能使变蓝色,并能使硝酸亚汞试液湿润的滤纸变为黑色。


(六)锌盐
(1)取供试品溶液,加亚铁氰化钾试液,即发生白色沉淀,分离,沉淀在稀盐酸中不溶解。
3Zn2++2K4[Fe(CN)6]→K2Zn[Fe(CN)6]2↓(白色)+6K+
(2)取供试品溶液,以鸹硫酸酸化,加深.1%硫酸铜溶液1及硫氰酸汞铵度液数滴,即发生紫色沉淀,继续滴加硫氰酸汞铵试液,沉淀由紫色变为绿色。

(七)镁盐
(1)取供试品溶液,加碳酸铵试液,即发生白色沉淀,滴化氯化铵试液,沉淀溶解,再加磷酸氢二钠试液,振摇,即发成白色沉淀。分离,沉淀在氨试液中不溶。
Mg2++(NH4)2CO3→MgCO3↓(白色)+2NH4+
Mg CO32NH4CI→MgCL2+(NH4)CO3→2NH3↑+H2O+CO2↑
MgCL2+Na2HPO4+NH4CI→MgNH4PO4↓(白色)+2NaCI+HCI
(2)取供试品溶液,咖氢氧化钠试液,即发生白色沉淀,分离,沉淀分成两耸,一份加过量氢氧化钠试液,沉淀不溶;另一份中加碘试液,沉淀显红棕色。
Mg2++2NaOH→Mg(OH)2↓(白色)+2Na+
(3)取供试品溶液2滴,加氢氧化钠试液1滴,然后加对硝基苯偶氮间苯二酚试液(镁试液)数滴,显天蓝色沉淀所生成的沉淀,溶于氯化铵试液中。
Mg2++2NaOH→Mg(OH)2↓+2Na+

该反应系一种有机染料吸附Mg(OH)2↓而产生的沉。如下溶液过酸,呈黄色,可再滴加适量的氢氧化钠试液。
Mg2+(OH)2+2NH4CI→MgCI2+2NH3↑+2H2O
(八)钡盐
(1)取铂丝,用盐酸湿润后,蘸取供试品,在无色火焰中燃烧,火焰即显黄绿色,自绿色玻璃中透视,火焰显蓝色。
(2)取供试品溶液,加稀硫酸,即发生白色沉淀,分离,沉淀在盐酸或硝酸中均不溶解。
Ba4+H2SO4→BaSO4↓+2H+
(3)与硫酸及高锰酸钾反应 取供试品溶液1滴,加高锰酸试液及2N硫酸溶液各1滴生成紫色沉淀,加热2-3分钟,再加过氧化氢溶液1滴,紫色不褪。
Ba4与SO4+反应生成BaSO4白色沉淀,但在KMnO4存在时即生成紫色沉淀。如KMnO4换以NaMnO4则BaSO4不染色。由于K+与Ba2+的离子半径(1.33A和蔼.35A)差不多,K-诱导MnO4-进入BaSO4晶格形成混晶而成紫色。
(九)银盐
(1)取供品溶液,加稀盐酸,即后成白色凝乳状沉淀。分离,沉淀能在氨试液中溶解而形成[Ag(NH3)2]+络离子,继加硝酸,沉淀复生成。
Ag++HCI→H++AgCI↓(白色)

(2)取供品溶液,加铬酸钾试液,即生成砖红色沉淀。分离,沉淀能在硝酸中溶解。
2Ag++K2CrO4→Ag2CrO↓+2K+
Ag2CrSO4+2HNO3→2AgNO3+H2CrO4↓
(十)铜盐
(1)取供试品溶液,滴加氨度,即生成淡蓝色沉淀物, 再加守量的氨试液,沉淀即溶解,生成深蓝色溶液。
2CuSO4+2OH-→Cu(OH)2SO4↓+SO42-
(蓝色碱式铜盐)
Cu(OH)2SO4+8NH3→2[Cu(NH3)4]2++SO42-+2OH
(深蓝色铜铵络离子)
(2)取供试品溶液,加亚铁氰化钾试液,即后成红棕色沉淀物,沉淀不溶于稀酸及氨水中,但溶于氨氯化铵缓冲溶液中,生成蓝色的[Cu(NH3)4]2+与碱作用被分解成CU(OH)2沉淀。
3Cu2+2K4[Fe(CN)6]→K2{Cu3[Fe(CN)6]2}↓+6K+
K2{Cu3[Fe(CN)6]2}+12NH3+→3[Cu(NH3)4]2++2[Fe(CN)6]4-
+2K+(蓝色)
K{Cu3[Fe(CN)6]2}+6OH-→3Cu(OH)2↓+2[Fe(CN)6]4-+2K+
通常反应在醋酸酸性中进行。
(3)取供试品溶液,加氢氧化钠试液,即产生淡蓝色沉淀,煮沸变为棕黑色。
Cu2++2NaOH→Cu(OH)2↓+2Na+
Cu(OH)2→C0↓+H2O
△
(十一)铋盐
(1)取供试品溶液,加碘化钾试液,即生成红棕色或暗棕色沉淀物,分离,沉淀能溶解于过量的碘化钾试液中,成为黄棕色的溶液。加蒸馏水稀释可又发生橙色沉淀。
Bi3++3KI→BiI3↓+3K+
Bi3++KI→KbiI4
继续加蒸馏水稀释,络合盐即分解,先形成碘化铋而生成橙色的氧碘化铋沉淀物。
KbiI4+Ho →BiOI↓+2HI+KI
如Bi3+浓度较小时,此步反应现象不太明显。
(2)取供试品溶液,加稀硫酸酸化,加10%硫脲溶液,即呈深黄色。
硫脲与多数金属离子有颜色反应,如Bi3+对特别敏锐(1μg),络合物的颜色,视组成不同而异。
[Bi3+:CS(NH2)2:1:1黄褐色;1:2黄色;1:3:黄褐色]。如
BiCI3+CS(NH2)2→Bi[CS(NH2)2]CI3
(黄色络合物)
此反应亦可用于铋的比色测定。
(3)取供试吕溶液,通硫化氢气,即发生棕黑色沉淀,能在热硝酸中溶解,但在氢氧化钠、稀盐酸或硫化液中均不溶。
Bi3++3HS→Bi2S3↓+6H+
Bi2S3+6HCI→2 BiCI3+3H2S↑
(十二)锑盐
(1)取供试品溶液,加稀盐酸成酸性后,加水至恰有白色混浊发生,加热,趁热加入硫代硫酸钠试液,即后成橙红色沉淀。
2Sb3++3S2O32-→4SO2↑+Sb2OS2↓
(橙红色硫氧化锑)
(2)取供试品溶液,加衡盐酸成酸性后,通硫化氢气,即生成橙色沉淀物。分离,沉淀在硫化铵度液或硫化钠试液中溶解。
2Sb3++3H2S→Sb2S3↓+6H+
(橙色)
2Sb5++5H2S→Sb2S5↓+10H+
(橙色)
Sb2S3+3(NH4)2S→2(NH4)3SbS3
Sb2S5+3(NH4)2S→2(NH4)3SbS4
(十三)铝盐
(1)取供试品溶液,加氢氧化钠试液,即了生白色胶状沉淀。分离,沉淀分成二份,一份中加入过量的氢化钠试液;加一份中加入稀盐酸沉淀均即溶解。
AI3++3OH-→AI(OH)3↓(白色)

(2)取供试品溶液,加氨试液至生成白色胶状沉淀,滴加0.1%茜素磺酸钠溶液数滴,沉淀即显樱红色。
AI3++3OH-→AI(OH)3↓

注:试剂茜素磺酸钠(Alizarihn-S)化学名为1,2-二羟基蒽醌磺酸钠(1,2-dihydroxy-anlhraquinone)。
(3)取供试品溶液,加硫化钠试液,即后成白色胶状沉淀,分离,沉淀在过量的硫化试液中溶解。
2AI3++3Na2S+6H2O→2AI(OH)3↓+3H2S↑+6Na+
2AI(OH)3+Na2S→2Na(AIO2)+H2S↑+2H2O
(十四)汞盐
亚汞盐(一价汞盐)
(1)取供试品,加氨试液或氢氧化钠试液,即变黑色。

Hg2(NO3)2+2NH4OH→HgNH2NO3↓+Hg↓+NH4NO3+H2O
Hg2(NO3)2+2NaOH→Hg(OH)2↓+2NaNO3
Hg2(OH)2→Hg2O↓+H2O
(2)取供试品,加碘化钾试液振摇,即发生黄绿色沉淀,瞬即变为灰绿色,并逐渐转变为灰黑色,灰绿色沉淀在过量碘化钾试液中溶解。
Hg2(NO3)2+2KI→Hg2I2↓(黄绿色)+2KNO3
Hg2I2+2KI→Hg()↓(黑色)+K[HgI2](溶解)
(3)取供试品溶液,加盐酸,即产生白色沉淀,在水中不溶,加氨试液即变黑色。
Hg22++2HCI→Hg2CL2↓+2H+
Hg2CL2+2NH3→Hg(NH)CI↓+Hg↓NH4CI
汞盐(二价汞盐)
(1)取供试品溶液,加氢氧化钠试液,即发生黄色沉淀。
Hg(NO3)2+2NaOH→HgO↓(黄色)+2NaNO3+H2O
(2)取供试品的中性溶液,加碘化钾试液,即发生猩红色沉淀,能在量过的碘化钾试液中溶解。再以氢氧化钠试液碱化,加铵盐即生成红棕色的沉淀。
HgCI2+2KI→HgI2↓(猩红色)+2KCI
HgI2+2KI(过量)→K[HgI4](溶解)↓

(3)取供试品溶液,通硫化氢气,即产生黑色沉淀,分离沉淀的硫化铵试液或沸稀硝酸中不溶。
Hg2++H2S→HgS↓+2H+
(十五)铅盐
(1)取供试品溶液,加盐酸,即产生白色沉淀,在沸水中溶解,但冷却后结晶析出。
Pb2++2HCI→PbCI2↓+2H+
(2)取供试品溶液,加铬酸钾试液,即产生黄色沉淀,在氢氧化钠试液或热硝酸中易溶,在稀硝酸微深,在醋液中不溶。
Pb2++K2CrO4→PbCrO4↓+2H+
PbCrO4+3NaOH→NaHPbO2+Na2CrO4+H2O
PbCrO4+2HNO3(热)→Pb(NO3)2+H2CrO4
(3)取供试品溶液,加碘化钾试液,即产生黄色沉淀,煮沸,即可溶解。放冷,则析有光的板状结晶。

(十六)氯化物
取供试品溶液,加氨试液使成碱性,如有沉淀生成需过滤,滤液分成2份。
(1)加销酸使成酸性,加硝酸银试液,即发生白色凝乳状沉淀,分离出沉淀能在氨试液中溶解,再加硝酸沉淀复生成。
CI-+AgNO3→AgCI↓(白色)+NO3-
AgCI+2NH4OH→[Ag(NH3)2]CI(银氨铬离子而溶解)+2H2O
[Ag(NH3)2]CI+2HNO3→AgCI↓+2NH4NO3
(2)加稀硫酸使成酸性,加锰酸钾结晶数粒,加热,即放出氯气,能使碘化钾淀粉试纸显蓝色。
10CI-+2KMnO4+8H2SO4→5CI2↑+K2SO4+2MnSO4+8H2O+5SO42-
2KI+CI2→2KCI+I2
I2+淀粉→显蓝色(吸附化合物)
(十七)溴化物
(1)取供试品溶液,加硝酸钾试液,即产生淡黄色凝乳状沉淀。分离,沉淀能在 试液中微溶,但几乎不溶于硝酸中。
Br-+AgNO3→AgBr↓(黄色)+NO-3
AgBr+2NH4OH→Ag(NH3)2++Br-+2H2O
在硝酸中几乎不溶,与其他银盐的沉淀区分(AgS↓、AgCO3↓等溶于硝酸中)。
(2)取供试品溶液,滴加氯试液,溴即游离,加氯仿振摇,氯仿层黄色或红棕色。
2Br-+CI2→Br+2CI-
Br-+氯仿→溶于氯仿层中,低浓度时呈黄色,高浓度时呈红棕色。
(十八)磺化物
(1)取供试品溶液,加硝酸银试液,即发生黄色凝乳状沉淀。分离沉淀在硝酸或氨试液中均不溶解。
I-+AgNO3→AgI↓(黄色)+NO3-
(2)取供试品溶液,加少量的氯试液,碘即游离,如加氯仿振摇,氯仿层显紫色,如加淀粉指示液,溶液显蓝色。
2I-+CI2→I2+2CI-
I2+氯仿→溶于氯仿层中显紫色
I2+淀粉→蓝色(吸附化合物)
(3)取供试品溶液,加二氯化汞试液,即发生猩红色沉淀。在过量的二氯化汞试液中微溶,在化碘钾试液中易溶。
2I-+HgCI2→HgI2↓(猩红色)+2CI-
HgCI2+2KI→K2[HgI4](碘化汞钾,溶解)
(十九)有机氟化物
取供试品约7 mg照氧瓶燃烧法(中国药典77年版附录74页)进行有机破坏,用水20ml与N/100氢氧化钠液6.5ml为吸收液,俟燃烧完毕后,充分振摇,取吸收液2ml,加茜素氟蓝试液0.5ml,再加含有12%醋酸钠与6%醋酸溶液0.2ml,用水稀释至4ml,加硝酸琰亚钸液0.5ml,即显蓝紫色。

(二十)水杨酸盐
(1)取供试品稀溶液,加三氯化铁试液1滴,即显紫色。

(2)取供试品溶液,加稀盐酸,即析出白色杨酸沉淀,分离,沉淀在醋酸铵试液中溶解。

(二十一)苯甲酸盐
(1)取供试品的中性溶液,加三氯化铁试液,即发生赭色沉淀,加稀盐酸变为白色沉淀。

(2)取供试品,置干燥试管中,加硫酸后,加热,碳化,但析出苯甲酸在试管内壁,凝结白色升华物。

(二十二)醋酸盐
(1)取供试品溶液,加硫酸后,加热,即分解发生醋酸的特臭。

(2)取供试品溶液,加硫酸和少量的乙醇,加热即发生,醋酸乙酯的特殊臭气。
2CH3COO-+H2SO4→2CH3COOH+SO42-

(3)取供试品溶液,加三氯铁试液,应显深红色,煮沸后产生红棕色沉淀,再加盐权,即分解成黄色溶液。
3CH3COO-+FeCI3→(CH3COO-)3Fe(深红色)+3CI-

Fe(OH)2(CH3COO-)+3HCI→FeCI3+2H2O+CH3COOH
(二十三)磷酸盐
(1)取供试品的中性溶液,加硝酸银试液,即发生浅黄色沉淀,分离沉淀氨试液或稀硝酸中均易溶解(与Br-产生的AgBr↓相区别)。
Po43+3AgNO3→AgPO4↓(浅黄色)+3NO3-
AgPO4+6NH4OH→3Ag(NH3)2OH(溶解)+H3PO4+3H2O
AgPO4+3HNO3→3AgNO+H3PO4
(2)取供试品溶液,加化铵镁试液,即发生白色结晶性沉淀。
HPO42-+MgCI+NH4OH→Mg(NH4)PO4↓(白色)+2CI-+H2O
(3)取供试品溶液,加钼酸铵试液与硝酸后,加热,即产生黄色沉淀。分离,沉淀能在氨试液中溶解。

在NH4OH或NaOH碱性溶液中,反应平衡向左方移动,而使沉淀溶解。
(二十四)乳酸盐
取供试品溶液,加硫酸使成酸性后,加高锰酸钾试液,加热,即发生乙醛的特臭。

(二十五)硫酸盐
(1)取供试品溶液,加氯化钡试液,即发生白色沉淀,分离,沉淀在盐酸或硝酸中均不溶解。
SO42-+Ba2+→BaSO4↓()
在硝酸和盐酸均不溶解,以与碳酸盐区别,因为若碳权存在,则加入氯化钡试液也能生成BaCO3↓,但它溶解于盐酸和硝酸中(生成氯化钡和硝酸钡,放出二氧化碳)。
(2)取供试品溶液,加醋酸铅试液,即发生白色沉淀,分离,沉淀在醋酸试液或氢氧化试液中溶解。
SO42-+Pb(CH3COO-)2→PbSO4↓()+2CH3COO-
PbSO4+2CH3COONH3→Pb(CH3COO-)2+(NH4)2SO4
(二十六)硝酸盐
(1)取供试品溶液置试管中,加等量的硫酸,注意混合冷后,沿管壁加硫酸亚铁试液,使成两液层,接界面显棕色。
NO3-+H2SO4→HSO4-+HNO3
6FeSO4+2HNO3+3H2SO4→3Fe2(SO4)3+2NO+4H2O
FeSO4+NO→[Fe(NO)]SO4(棕色)
(2)取供试品溶液,加硫酸与铜丝或铜屑加热,即发生红棕色的蒸气。

(二十七)亚硝酸盐
(1)取供试品溶液,加小量醋酸, 再加硫酸亚铁试液,即显深棕色。
NO2-+CH3COOH→CH3COO-+HNO2
3HNO2→H2O+HNO3+2NO
FeSO4+NO→[Fe(ON)]SO4(深棕色)
(2)取供试品溶液,加稀硫酸,碘化钾试液与淀粉指示液的混合液数滴,即显蓝色。
2NHO2-+H2SO4→2HNO2+SO4-
2HNO2+2KI+H2SO4→I2+K2SO4+2NO+H2O
(3)取供试品溶液,加稀硫酸使成酸性后,加入高锰酸钾试液数滴,颜色即消退。
3NO2++KMnO4+2H+→Mn(NO3)2+KNO3+H2O
(二十八)硼酸盐
(1)取供试品溶液,加盐酸使成酸性后,能使姜黄试纸变成棕红色,放置干燥,颜色即变深,用氨试液湿润,即变为绿黑色。
B4O72-+2HCI+5H2O→4H3BO3+2CI-
姜黄素

(2)取供试品,加硫酸,混合后,加甲醇,点火燃烧,即发生过缘带绿色的火焰。
B4O72-+H2SO4+5H2O→4H3BO3+SO42-
H3BO3+3CH3OH→B(OCH3)3+3H2O
(1)取供试品溶液,加稀酸,即泡沸,发生二氧化碳气,此气通入氢氧化钙试液中,即发生白色沉淀。
CO32-+2H+→H2CO3→H2O+CO2↑
HCO32-+H+→H2CO3→H2O+CO2↑
CO2+Ca(OH)2→CaCO3↓(白色)+H2O
(2)取供试品溶液,加硫酸镁试液,如为碳酸盐溶液,即发生白色沉淀,如为碳酸氢盐溶液,须煮沸,始发白色沉淀。

(3)取供试品溶液,加酚酞指示液,如为碳酸盐溶液,即显深红色,如为碳酸氢盐溶液,不变色或仅显微红色。
(三十)枸橼酸盐
(1)取供试品溶液,加稀硫酸1滴,加热至沸,加高锰酸钾试液数滴,振摇,紫色即消失,加硫酸汞试液1滴,发生白色沉淀。


(2)取供试品的中性溶液,加过量的氯化钙试液,冷时无变化,煮沸,即产生白色的颗粒的性沉淀,能在醋酸或稀酸中溶解,但在氢氧化钠中不溶。

(3)取供试品的的中性溶液,加过量的硝酸银试液,即产生白色沉淀,;能中硝酸或氨试液中溶解,取氧性溶液置试管中,加热,管壁不显银镜。

(三十一)亚砷酸盐
(1)取供试品的中性溶液,加硝酸银试液,即发生黄沉淀,能在氯试液或稀硝酸中溶解。
AsO33+3AgNO3→Ag3AsO3↓(黄色)+3NO3-
Ag3AgO3+6NH4ON→3Ag(NH3)2OH(溶解)+3H3AsO3+3H2O
Ag3AgO3+3HO3→3AgNO3+H3AsO3
沉淀在氨试液或稀硝酸中溶解,而与产生的溴化银、碘化银黄色的沉淀所区别。
(2)取供试品的中性溶液,加硫酸铜试液。即产生绿色沉淀,再加氢氧化钠试液,煮沸,沉淀变为红色。
2AsO33-+3CuSO4→Cu3(AsO3)2↓()+3SO42-
Cu3(AsO3)2+6NaOH→3Cu(OH)2+2Na3AsO3

(三十二)砷酸盐
(1)取供试品1滴,加硝酸银试液1滴,应发生红棕色的沉淀,能溶于氨试液中。
AsO33-+3AgNO3→Ag3AsO4↓+3NO3-
Ag3AsO4+6NH4OH→3Ag(NH3)2OH+H3AsO4+3H2O
(2)取供试品1滴,加盐酸1滴,加碘化钾试液,1滴,应析出游离碘。
AsO33-+2HCI+2KI→I2+2KCI+AsO32++H2O
(三十三)硫代硫酸盐
(1)取供试品溶液,加盐酸,即产生白色沉淀,迅速又变成黄色并发出二氧化硫的特殊剌激性臭气。

(2) 取供试品溶液,加三氯化铁试液,即显紫堇色,振摇后即消褪。
SO2232-+FCI→[Fe(S2O3)2]-()+3CI-
[Fe(S2O3)2]-+CI-+FeCI3→SO2262-+2FeCI2
(3) 取供试品溶液,加醋酸铅试液,即产生白色沉淀,如再加过量醋酸铅试液,即溶解,如煮沸,沉淀变黑色。
SO2232-+(CH3COO-)2Pb→PbS2O3↓(紫堇色)+2CH3OO-
PbS2O3+H2O→PsS0(白色)↓
(三十四)亚硫酸盐或亚硫酸氢盐
(1)取供试品溶液,加盐酸,即发生二氧化硫的气体,有剌激性特臭,并能使润湿的硝酸亚汞试纸变成黑色。

Hg2(NO3)2+SO2+2H2O→2Hg↓+2HNO3+H4SO4
(2) 取供试品溶液,滴加碘试液,碘的颜色即消褪。
SO32-+I2+H2O→SO42-+2HI
HSO3-+I2+2H2O→2H2SO4+2HI
(三十五)酒石酸盐
(1)供试品的中性溶液,置试管中,加硝酸银试液数滴,即发生白色沉淀,用少量氨试液使沉淀溶解后,将试管置水浴中,银即游离,附在试管内形成银镜。

(2)供试品溶液,加醋酸呈酸性后,加硫酸亚铁试液1滴,过氧化氢试液1滴,俟溶液褪色后,用氢氧化钠试液碱化,溶液即显紫色。

(三十六)哌生物碱类
供品约为10mg,加发烟硝酸5滴,置水浴上蒸干,即得黄色的残渣,放冷,加取乙醇制氯化钾试液3-3滴,即湿深紫色。

(三十七)芳香第一胺类
取供试品约5mg,加稀盐酸1ml,必要时缓缓煮沸使溶解,放冷,加M/10亚硝酸钠液数滴,滴加碱性β-萘酚试液数滴视供试品不同,发生由橙黄到猩红色沉淀。如普鲁卡因。

普鲁卡因,苯佐卡因及磺胺类药物均呈此反应。
(三十八)苯酚(酚羟基反应)
(1)取供试品溶液1滴,加三氯化铁试液2滴,呈紫堇色。

(2)取供试品1滴,加溴试液,生成黄色白色沉淀。

根据不同的酚羟基物质呈现蓝色、绿色、紫色等。肾上腺素、吗啡、雷琐辛及水亿酸盐等呈此反应。
(三十九)玫瑰药青素(Rosecranine)
取供试品溶液,加硫酸混合后,加甲醇,点火燃烧,即发生边缘带绿色的火焰。
B4O72-+H2SO4+5H2O→4H3BO3+SO42-
H3BO3+3CH3OH→(CH3)3BO3+3H2O
(四十)丙二酰脲类
(1)取供试品约0.1g加碳酸钠试液1ml与水10ml,振摇2分钟,滤过,滤液中逐渐滴加入硝酸银试液,即发生白色沉淀,振摇,沉淀溶解,继续滴加过量的硝银试液,沉淀不再溶解。

(2)丙二酰类分子中含有一CONHCONHCO-的结构,与铜盐作用能产生类似双缩脲的颜角反应,与吡啶和硫酸铜溶液作用,显紫色(ZW-ikker反应)。

(四十一)乙醇基(C2H5O-)及甲基酮(CH3CO-)
取供试品溶液,加入碘试液及氢氧化钾试液,稍加温后,即生成特殊臭的碘仿,量大时可生成黄色的碘仿沉淀。
C2H5OH+4I2+6KOH→CHI3↓+5DI+HCOOK+5H2O
CH3·CO-R+3I2+4KOH→CHI3↓+RCOOK+3KI+3H2O
乙醇、苯佐卡因、优奎宁,普卡因狄奥宁等均呈此反应。
(四十二)乙酰基(CH3COO-R)
取供试品溶液,加乙醇2~3滴及硫酸2ml,加热,即发生乙酸乙酯的香气。

乙酰胂胺、乙酰唑胺及冰醋酸等均呈此反应。
(四十三)生物碱沉淀反应。
取供试品加水(或酸性水溶液)溶解后,滴加碘一碘化钾试液或碘化钾试液,即形成沉淀。生物碱及季铵等均呈此反应;如咖啡因,用盐酸酸化,加碘化铋钾试液,生成棕红色沉淀。
BH+KbiI4→BH·BiI4
而可待因的沉淀级成为(BH)(BiI4)I2
(四十四)卤素化合物的反应
取铜片于无色的火焰中,加热后放冷,蘸取供试品少许,再置无色火焰中燃烧,即显绿色火焰。
一溴樟脑及水合氯醛等卤素化合物均呈此反应(极为灵敏)。
(四十五)还原糖反应
取碱性酒石酸铜试液,加放供试品,缓缓加热,即生成氧化亚铜的红色沉淀。
CuSO4+2NaOH→Cu(OH)2+Na2SO4

(四十六)氨基酸、肽类、蛋白质纸层析呈色反应。
用0.2%茚三酮乙醇溶液鉴别,反应灵敏,层析滤纸等不宜用手指多接触,亦不宜与氨气接触,否则纸背呈红色。
茚三酮不仅与α氨基酸作用,也与某些β氨基酸和伯、仲脂肪胺等作用,生成相似的有色物质。对脂肪族叔胺或芳无作用。对多肽也能显色,但肽越大度越低。吲哚醌试剂也有相似作用,其灵敏度不及茚三酮高。但对不同氨基显不同色调。
茚三酮反应原理:对α氨基酸先起氧化,脱氨化应之分解成氨,二氧化碳和醛,茚三酮本身被还原,再与生成的氨缩合成紫色物质。

吲哚醌与α氨基酸反应:对辅氨酸、组氨酸呈蓝色;对色氨酸、甲硫氨基酸呈绿色;对亮氨酸、丝氨酸呈红色等。对一些小肽也能显色,但肽越大灵敏芳越低,色差也小,接近黄色。

(四十七)甾体类、三萜类
甾体类、三萜类的显色剂,均属酸类,其中有强酸如硫酸、磷酸、氯磺酸高氯酸、三氟乙酸;中等强度的酸如三氯乙酸,也有三氯化锑、二氯化锌等Lewis氏酸。
挥发油属萜类,若油斑未消失前,喷5%香蓝醛的浓盐酸试液后,可呈现黄、红、蓝等色。油脂无此反应。
中草药主要来源于植物。植物的化学成分较复杂,有些成分是植物所共有的,如纤维素、蛋白质、油脂、淀粉、糖类、色素等。有些成分仅是某些植物所特有的,如生物碱类、甙类、挥发油、有机酸、鞣质等。
各类化学成分均具有一定的特性,一般可由药材的外观、色、嗅、味等作为初步检查判断的手段之一。如药材样品折断后,断面不油点或挤压后有油迹者,多含油脂或挥发油;有粉层的多含淀粉、糖类;嗅之有特殊气味者,大多含有挥发油、香豆精、内酯;有甜奈者多含糖类;味若者大多含生物碱、甙类、苦味质;味酸者含有有机酸;味涩者多含有鞣质等等。
中草药所含化学成分均为多类的混合物,分析时常常互相干扰,不易得到正确结果。因此需根据中草药所含各种化学成分的溶解度、酸碱度、极性等理化性质,再用各类成分的鉴别反应加以鉴别。
(一)鉴别注意事项
1.根据各灰成分不同性质,选用适宜的溶剂提取,以保证等成分能被提取出来。
2.检品提取液的浓度应足以达到各该反应的灵敏度。
3.检品提取液的酸碱度(pH)值应不致影响鉴别反应中所需要的pH值。相差甚大时应事先调节。
4.提取液较深时,常易影响观察鉴别反应的效果,此时可适当稀释,或进一步提纯。
5.鉴别反应时应注意防止多类成分的相互干扰,以免出现假阳性,或颜色不正等情况。最好在化学鉴别的同时,做空白试验和对照试验(用已知含某类成分的中草药或纯品做阳性对照)。
6.在鉴别试验中,如果某一类成分的几个鉴别反应结果不一致时(即有的呈阳性反应,有的呈阴性)则应进行全面分析。首先应注意呈阳性反应的试验是否属于该类成分的专一反应,否则应检查其他类成分能否产生该反应,从多方面加以判断。但也应注意,某些反应只能对某一类成分中的某个化学基团呈性反应,如检查黄酮类的盐酸――镁粉试验,它只对黄酮类中的羟基黄酮类(黄酮醇类)反应明显,其余类的黄酮类则不甚明显,但也不能轻易否定不是黄酮类,为了避免孤立和片面的下结论,一定要全面考虑综合分析。
中草药化学成分一般鉴别试验屯只是一个初步判断,最后确证尚需进一步提纯,以鉴定后才能予以肯定。
(二)鉴别方法
蛋白质、多肽、氨基酸
(1)加热或矿酸试验:取检品的水溶液1ml于试管中,加热至沸或加5%盐酸,如发生混浊或有沉淀示含有水溶性蛋白质。
(2)缩二脲试验:取检品的水溶液1ml,加10%氧化钠溶液2滴,充分摇匀,逐渐加入硫酸铜试液,随加摇匀,注意观察,如呈现紫色或紫红色示可能含有蛋白质和氨基酸。
凡蛋白质结构中含有两个或两个以上肽键(-CONH-)者均有此反应,能在碱性溶液中与Cu2+生成仙络合物,呈现一系列的颜色反应,二肽呈蓝色,三肽呈紫色,加肽以上呈红色,肽键越多颜色越红。

(3)茚三酮试验,取检品的水溶液1ml,加入茚三酮试液2-3滴,加热煮沸4-5分钟,待其冷却,呈现红色棕色或蓝紫色(蛋白质、胨类、肽类及氨基酸)。
α氨基酸与茚三酮的水合作物作用,氨其酸氧化成醛、氨和二氧化碳,而茚三酮被还原成仲醇,与所后成的氨及另一分子茚三酮缩合生成有蓝紫色的化合物。

【注】①茚三酮试剂主要是多肽和氨基酸的显色剂,反应在1小时内稳定。试剂溶液pH值以5-7为宜,必要时可加吡啶数滴或醋酸钠调整。
②此反应非常灵敏,但有个别氨基酸不能呈紫色,而呈黄色,如脯氨酸。
(4)氨基酸薄层层析检出反应:
①吸附剂:硅胶G。
②展开剂:(1)正丁醇:水(1:1)(2)正丁醇:醋酸:水(4:1:5)
③显色剂:0.5%茚三酮丙酮溶液,喷雾后于1100烘箱放置5分钟,显蓝紫允或紫色。
2.皂甙
(1)泡沫试验:取检品的水溶液2ml于带塞试管中,用力振摇3分钟,即产生持久性蜂窝状泡沫(维持10分钟以上),且泡沫量不少于液体体积的1/3。
【注】常用的增溶剂吐温、司盘,振摇时均能产生持久性泡沫,要注意区别。
(2)溶血试验:取试管4支,分别加入滤液0.25、0.5、0.75 ml,然后依次分别加入生理盐水2.25、2.0、1.75、1.5ml,使每一个试管中的溶液都成为2.5ml, 再将各试管加入2%的血细胞悬液2.5ml,振摇均匀后,同置于370水浴或25-270的室温中注意观察溶血情况,一般观察3小时即可,或先滴红细胞于显微镜下,然后滴加检液看血细胞是否消失。如有溶血现象示正反应。
【注】①鞣质对血红细胞有凝集作用,干扰溶血试验的观察,应事先除去(可用取胜酰胺粉吸附或用明胶沉淀)。
②检液应为中性溶液。
(3)醋酐浓硫酸试验(Liebrmann Burchard反应)取检品的水溶液置蒸发皿中,于水浴上蒸干,残渣加入少量冰醋酸使溶解,再加入醋酐浓硫酸(19:1)试液,呈现红紫色并变成污色绿色(甾类、三萜类成分或皂甙)
(4)区别甾体皂甙和三萜皂甙:取带塞试管两支,各盛检品的水溶解1 ml,1支加0.1N盐酸溶液2ml,另一支加0.1N氢氧化钠溶液2ml用力振摇1分钟(需左右手交替振摇各半分钟),观察两管泡沫的多少,若两管泡沫体积相同或酸管多,示含三萜式皂甙;若加碱管泡沫多于加酸管示含甾示含甾体皂甙。
三萜皂甙为酸性皂甙在酸性水溶液中形成较稳定的泡沫;甾体皂甙为中性皂甙在碱笥溶液中能形成较稳定的泡沫。
3.糖、多糖或甙类
(1)碱性酒石酸铜试液:取检品的水溶液1-2ml(如为醇溶液须将醇蒸发除去),加入碱笥酒石酸铜试液1ml,于沸水浴上加热5分钟,产生棕红色或砖红色氧化亚铜沉淀,示有还原糖。
还原糖能使二价铜盐(蓝色)还原成氧化亚铜,醛糖的醛基氧化成羧基:

【注】①如检液呈酸性,应先碱化。
②此反应所产生的沉淀由于条件不同,其颜色也不同,质点上的呈黄色,质点大的呈红色。有保持性胶体存在时,也常产生黄色沉淀。
③职样品中含有其他醛、酮及还原较强的其他成分,或中划药制剂中附加的抗氧剂、;葡萄糖等均可显阳性反应。
(2)α萘酚试验(Molisch紫环反应):取检品的水溶液1ml,加5%萘酚试液数滴振摇后,沿管壁滴入5-6滴浓硫酸,使成两液层,待2-3分钟后,两层液面出现紫红色环(糖、多糖或甙类)。
多糖类遇浓硫酸被水解成单糖,单糖被浓硫酸脱水闭环,形成糠醛类化合物,在浓硫酸存在下与α萘酚发生酚醛缩合反应,生成紫红色缩合物。

【注】①甙的分子结构中含有糖基,一般属于单糖类,如葡萄糖,鼠李糖、半乳糖,但也有含二分子糖(双糖)或多分子糖(多糖)。在上述反应条件下,甙被水解成单糖,因此甙萘酚试验,系分子中糖部分的反应。
②由于此反应较为灵敏,如有微量滤纸纤维或中草药粉末存在于溶液中,都能产生上述反应。故滤过时应加注意。
(3)多糖的确证试验:取检品的水溶液5ml于水 蒸发至干,加入1ml蒸馏水,再加入乙醇5ml,如出现沉淀,滤过收集后用少量热乙醇洗涤,再将沉淀物溶于3ml蒸馏水中,做下例试验。
①碘试验:取检品的不溶液1ml,加碘试液1滴,观察颜色变化,如呈蓝黑色为地衣糖;紫黑色为糊精;蓝色加热消失,冷后蓝色再现为淀粉。
②多糖水解:取检品的水溶液1ml,加入稀盐酸5滴,置沸水浴中加热10-15分钟,然后用10%氢氧化钠液中和至中性,再加新配制的碱性酒石酸铜试淮4滴,另取检液1ml,不加酸水解直接加入上述试液4滴,两管同置水浴上煮沸5-6分钟。如果水解后生成棕红色常常物的量比未经水解的多,则示有多糖。
多糖水解后产生单糖,利用单糖的还原性,使铜离子还原成氧化亚铜。
4.鞣质及酚类
(1)三氯化铁试验:取检品的水溶液1ml,加三氯化铁试液1-2滴,呈现绿色、污绿色、蓝黑色或暗紫色(可水解鞣质显蓝一蓝黑色,缩合鞣显绿色一污绿色)。
鞣质均是多羟基酚的衍生物,即多元酚,能和三价铁离子发生颜色反应生成复杂的络盐。
【注】此反应如遇有矿酸或有机酸、醋酸盐等存在,能阻碍颜色的生成。硝基酚类对三氯化铁试剂无明显反应。
(2)明胶试验:取检品的水溶液1ml,加氯化钠明溶液2-3滴,即生成白色沉淀物。
鞣质有凝固蛋白的性能。
(3)溴试验:取检品的水溶液1ml,加溴试液1-2滴,生成白色或沉淀物,示可能含有酚或儿茶酚鞣质。

【注】过多的溴会阻碍鞣质的沉淀,因此溴水不宜多加。
(4)香草醛一酸试验:取检品的水溶液点于滤纸片上,干后,喷雾或滴加香草醛一盐酸试液,呈现红色斑点(多元酚类物质)。
(5)鞣质、酚类薄层层析检出反应:
①吸附剂:聚酰胺;硅胶;硅胶;石膏:水(5:1:7)调成状,涂成薄板,1050烘干45分钟。
②展开剂:乙醇:醋酸(100:2);正丁醇:乙酸乙酯:水(5:4:1);苯:甲醇(95:5)。
③显色剂:10%三氯化铁溶液;1%三氯化铁乙醇溶液与1%铁氰化钾水溶液(1:1)显蓝一紫色斑点。
5.黄酮及其甙类
(1)盐酸一镁(或锌)粉试验:取检品的乙醇溶液1ml,加放少量镁粉(或锌粉),然后加浓盐酸4-5滴,置沸水浴中加热2-3分钟,如出现红色示有游离黄酮类或黄酮甙(以同法不加镁或粉做一对照,如两管都显红色则有花色素存在。如继续加碳酸试液使成碱笥即变成紫色双转变为蓝色,即证明含花色素)。
黄酮类的乙醇溶液,在盐酸存在的情况下,能被镁粉还原,生成花色甙元而呈现红色或紫色反应(个别为淡黄色、橙色、紫色或蓝色)。这是由于酮类化合物分子中含有一个碱性氧原子,致能溶于稀酸中被还原成带四价的氧原子即锌盐。本法是鉴别黄酮类的一个反应。但花色素本身在酸性下(不需加镁粉)呈红色,应加以区别。
【注】①此反庆仅在化学结构中,第三位上带羟基的酮醇类显色较明显,而其它黄酮烷酮类均不甚明显。因此试验呈阴性反庆是不能做出否定的结论,尚需结合其他实验再做结论。
②试验应在醇中进行,水分多会影响颜色的生成。此反庆较慢,有时需置水浴上加热,以促使反应的进行。
(2)荧光试验:
①三氯化铝试验:取检品的乙醇溶液点于滤纸片上(干后再点1次,使其浓度庥中),干后,喷雾1%三氯化铝乙醇试液,在紫外光灯下观察,呈现黄色、绿色、橙色等荧光为黄酮类;呈现天蓝色或黄绿色;荧光,则为二氢黄酮类。这是区别二氢黄酮类化合物的一种鉴别反应。
②硼酸丙酮枸橼酸丙酮试验:取检品的乙醇溶液1ml,在沸水浴上蒸干加入饱和硼酸丙酮溶液及10%枸橼酸丙酮溶液各0.5ml,蒸去丙酮后,在紫外光灯下观察,管内呈现强烈的绿色荧光(黄酮或其甙类)。
(3)碱液试验:取检品的乙醇溶液点于滤纸片上(干后,再点一次,使其溶液集中),干后,喷1%碳酸钠溶液或在氨蒸气中熏几分钟,呈现亮黄、绿或橙黄色。如将氨气熏过的滤纸露置空气中,颜色逐渐裉去而变为原有的颜色(黄酮或其甙类)。
| 试剂 | 一 | NH3 | AICI3 | Na2CO3 | ||||
| 光线 | ViS. | U.V | ViS. | U.V | ViS. | U.V | ViS. | U.V |
| 化合物 | 黄酮 | 淡黄 | 暗棕、红棕、黄棕 | 黄 | 亮黄 | 淡黄 | 亮黄 | |
| 黄酮醇 | 淡黄 | 亮黄、黄绿、棕 | 黄 | 亮黄、黄绿、绿 | 黄 | 黄、黄棕、暗蓝 | ||
| 异黄酮 | 无色 | 淡黄、紫 | 无色 | 淡黄、紫 | 无色 | 淡绿 | ||
| 儿茶精 | 无色 | 无色 | 无色 | 淡蓝黑 | 无色 | |||
| 二氢黄酮 | 无色 | 无色** | 无色 | 无色、淡黄、淡绿 | 无色 | 淡黄、绿 | ||
| 花色甙 | 红、橙紫 | 深红、橙紫、淡棕 | 蓝 | 暗蓝 | ||||
| 查耳酮 | 黄 | 棕、黑、黄棕 | 黄、橙、红 | 橙、红、紫黑 | 黄、橙 | 橙*、棕、红 | 橙、蓝红 | |
*示有荧光**示在短波紫外线光下为黑色ViS.系可风光U.V系紫外光
6.蒽醌及其甙类 取检品的乙醇溶液10ml,蒸去乙醇,残渣加5%氢氧化钠溶液2-3ml,在沸水中加15分钟,冷后滤过,滤液加稀盐酸酸化,加乙醚提取,取乙醚提取液做下列检查:
(1)碱液试验:取上述乙醚溶液,加等量1%氢氧化钠溶液,摇匀,水层呈现红色,加入少许3%过氧化氢溶液,在沸水浴中加热4分钟,红色不裉,当加酸酸化后,红色消失。加碱碱化后红色又出现(蒽醌类化合物反应)。
1,8一二羟基蒽醌的酚羟基遇氢氧化钠生成钠盐,而呈现红色,遇酸显黄色。

【注】蒽醌和二蒽酮与碱液不显红色,只呈黄色,但以氧化羟基蒽醌后遇碱即显红色。
(2)醋酸镁试验:取上述醚溶液1ml,蒸去乙醚,残渣加入乙醇1ml溶解,加入1%醋酸镁甲醇溶液3滴,显红色(如显橙黄色可能为二氢蒽醌)。

羟基蒽醌类与醋酸镁甲醇溶液反应可显橙、红、蓝、紫等色,产生这些颜色的必要投机倒把至少有一个α位羟基。加羟基的位置不同,产生的颜色也不同。一般在同一苯环上有两个α羟基者显紫红色或蓝色;如同一苯环在有两个邻位的羟基,一个α位,一个β位,显紫色或紫锴。其他α羟基蒽醌一般呈橙至红色。因此这一颜色反应仅可作蒽醌的检只识用,而且还可初步判断羟的基的位置。
【注】醋酸镁试验亦可用滤纸斑点显色法进行。
(3)蒽醌薄微量检出反应:
①吸附剂:硅胶;中性氧化铝(Ⅲ级);硅胶G湿法制板。
②展开剂:苯:醋酸(6:3)石油醚:丙酮:水(5:3:3:5);苯甲酸酯:甲酸(74:24:1)。
③显色剂;5%氢氧化钠液(显红色);1%醋酸镁甲醇溶液(显黄色)。
此外亦可在紫外灯光下观察荧光。
7.强心甙
(1)3,5一二硝基苯甲酸试验(Kedde’s反应):取检品的乙醇溶液2ml,加3,5一一硝基苯甲酸试液3-4滴再加10%氢氧化钠溶液2滴,呈现红色或紫红色(9为α、β不饱和内酯环强心甙的反应)。
(2)碱性苦味酸试验:取检品的醇溶液1ml,显橙色或橙红色(此反应常在15分钟后,显色最明显)。
(3)亚硝酰铁氰化钠试验(Legal反应):取检品的醇溶液1ml,蒸去溶剂,放冷后,加吡啶少许使残渣溶解,加0.5%亚铁试液4-6滴,摇匀,再加入10%氢氧化钠1-2滴,即显红色并逐渐消失(为检查强心甙元的反应)。
(4)三氯化铁水醋酸试验(Keller反应):取检品的乙醇溶液2ml,蒸去溶剂,残渣加0.5%三氯化铁冰醋酸溶液1ml,使溶解后,沿试管壁加入浓硫酸1ml,在两液界面显红棕色环,继则变为浅绿、蓝色,而冰醋酸层显蓝色,示含α去氧糖强心甙。
(5)醋酐一浓硫本试验(Liebirman Barchard 反应):取检品的乙醇溶液2 ml,置蒸发皿中,于水浴上蒸干,残渣加冰醋酸1ml使溶解,再加入醋酐一浓硫酸(19:1)数滴,呈现黄→红→蓝→紫→污绿色,并逐渐裉色。因颜色变化很快,须注意观察(为检查强心甙分子结构中甾体母核的反应)。
【注】①试验1,2,3,的反应,均系在较强的碱性条件下进行,当有蒽醌存在时,须先将检液置水浴上蒸去乙醇,再加乙醚适量,用1%氢氧化钠溶液反复萃除蒽醌(弃去红色碱液),然后将乙醚溶液于水浴上蒸去乙醚,残渣再用乙醇溶解后,供试验用,以免干扰。
②试验4的反应仅对游离的去氧糖和结合的甙呈正反应。但当α去氧糖与葡萄糖等其他糖结合的多,如不水解则为负反应。
③上述鉴别反应均呈阳性,可判断为强心甙。
8.内酯、香豆精及其甙类:取检品的乙醇溶液10m1,加5%盐酸溶液10,在沸水浴中热15-20分钟,冷后,加苯提取将苯提取液于水浴上蒸干(避火),残渣加适量乙醇溶解后,供做下列检查:
(1)异羟肟酸铁试验:取上检液2ml,加盐酸羟试液2滴,10%氢氧化钾的甲醇溶液2滴,在水浴上微热,冷却,用稀盐酸酸化,加入15三氯化铁试剂液1-2滴,显紫色苛橙红色。
内酯及香豆素类在碱性条件下,与羟反应生成异羟肟酸,与铁盐络合而显色。
(2)内酯试验:取上检液2ml,加1%氢氯化钠溶液2m1,在沸水浴中加热3-5分钟,如溶液较前澄明,加酸酸化后又变混浊为正反应。
内酯化合物在热碱溶液中,开环成盐而溶于水,酸化则重新闭环,而出内酯化合物,溶液即变混浊。

(3)重氮化反应:取上检液1ml,加等体积3%碳酸钠溶液,在沸水浴中加热3-4分钟,冷后,加入新配制的重氮化试剂1-2滴,即显红色。

(4)荧光反应:取上检液点于滤纸上(干后,再点1次,以集中浓度),在紫外光灯下观察,如为羟基香豆精应呈现蓝色荧光,熏氨蒸气后变为黄绿色荧光。呋喃香豆精应呈现蓝色或黄棕色的荧光。
9.树脂类 取检品的乙醇溶液1ml,加1-2%氢氧化钠溶液2-3ml,显浑浊或沉淀,在水浴上加3-5分钟,溶液变清或沉淀减少,加酸酸化则又浑浊或沉淀,示含有酸性树脂。如在上项反太中,当加碱加热后,溶液仍浑浊示含有中性树脂。
因酸性树脂能溶于碱液中,加热后就成澄明液。中性树脂则不溶于碱性溶液中,故溶液仍显浑浊。
10.生物碱 取检品的酸性乙醇溶液20ml,调节pH值至6-7,蒸发除去乙醇,残渣加5%盐酸溶液4-5ml溶解,滤过,滤液供下列检查:
(1)碘化铋钾试液1ml,加碘化铋钾试液1-2滴,生成黄色或橘红色沉淀。
AIK+BiI3·KI→AIK·BiI3·KI↓
(生物碱)(碘化铋钾)(桔红色)
(2)碘化汞试验:取滤液1ml加碘化汞钾试液1-2滴,生成白色淡黄色沉淀物。
AIK+KI·HgI2→AIK·KI·HgI2↓
若在过量的试剂中其沉淀又复溶解。
(3)碘一碘化钾试验:取滤液ml,加碘化一碘化钾试液1-2滴,出现棕色沉淀或混浊。
(4)硅钨酸试验:取滤液1m1,加硅钨酸试液1-2滴,生成灰白色或淡黄色沉淀。加热可使反应灵敏。
(5)生物碱呈色反应:
| 生物碱名称 | 呈色反应 | 生物碱名称 | 呈色反应 | ||
| 甲醛硫酸试液 | 钼酸铵一硫酸试液 | ||||
| 吗啡 阿扑吗啡 可待因 狄奥宁 罂粟碱 马钱子碱 | 紫→深紫 紫堇→蓝 紫蓝→蓝 紫堇→蓝 深红→棕 红橙 | 紫→棕绿 紫堇→绿 绿→蓝 绿→蓝 紫堇→绿 红紫 | 秋水仙碱 毒扁豆碱 阿托品 麻黄素 乌头碱 那可汀 | 紫堇→橙 橙 橙 茶 一 紫→褐 | 绿 一 一 一 黄 绿→红黄 |
11.有机酸
(1)溴酚蓝试验:取检品的酸性乙醇溶液点于滤纸,干后,喷雾0.1%溴酚蓝乙醇溶液(70%乙醇),立即在蓝色背景中显黄色斑点。如不明显,可喷雾氨水,然后暴露在盐酸气体中,背景逐渐由蓝色变为黄色,而有机酸的斑点仍然为蓝色。
(2)酸碱度试验:取检品液(水提取液)以pH试纸检查,如试纸颜色指示pH在7以下,可能含有有机酸。
(3)纸层析检出试验:见纸层析操作方法。
①支持剂:新华滤纸(中速)
②展开剂:正丁醇:醋酸:水(4:1:5)。
③显色剂:0.15溴酚蓝乙醇溶液(70%乙醇)。
结果:呈现蓝色斑点。
12.挥发渍及油脂
(1)取检品的乙醚溶液,置蒸发皿中,待溶剂挥发生,残渣为油状物,并有香气或特异自气,加热,油状物减少或消失示含挥发油。如无香气,或加状物不减少,可能为油脂,可于残渣中加入少许无水硫酸钠颗粒,直火加热,如产生气泡,并有剌激性特臭的浓白色气体(丙烯醛),示含油脂类化合物。
(2)取检品的乙醚溶液,点在滤纸上,待溶剂挥发生,喷雾0.05%荧光素钠溶液,再将滤纸下置碘蒸气上,熏几分钟,产生黄或黄绿色斑点,背景为粉红色示含挥发油。
(3)取检品的乙醇溶液,置白瓷皿中,待溶剂挥发生,残渣中加1%香草醛盐酸液,显黄色、红、棕、蓝、紫等颜色,示含挥发油。
(4)挥发油薄层微量检出反应:
①吸附剂:硅胶G(湿法制板);中性氧化铝:石膏:水(5:1:7)。
②展开剂:正已烷:乙酸乙酯(85:15);石油醚:乙酸乙酯(85:15)。
③显色剂:含5%香草醛的浓硫酸液(临用新配)1050烘2-10分钟;荧光照射;浓硫酸。
【注】香草醛化学名为3甲氧基4羟基苯甲醛。
本法系将一定剂量的供试品静脉注入家兔体内,在规定时间内。观察家兔休升高的情况,以判定供试品所含的热原限度是否符合规定。
(一)供试用家兔供试用的家兔应健康无伤 ,体重1.7-3.0kg,雌兔应无孕。预测体温前7天即应用同一饲料饲养,在此期间内,体重应不减烃,精神、食欲、排泄等不得有异常现象。未经使用于热原检查家兔;或供试品判定为符合规定,但级仙升温达0.6℃的家兔。或供试品判定为不符合规定,但其组内家兔平均升温未达0.8℃,且已休息2周以上的家兔;或3周内不曾作用的家兔,均应在检查供试吕前3-7天内预测体温。进行挑选。挑选试验的条件与检查供试品时间相同,仅不注射药液,每隔1小时测量体温1次,共测4次。4次体温均在38.0-39.6℃范围内,且最高最低体温的差数不超过0.4℃的家兔,方可供第2次检查用。如供试品判定为不符合规定,且其组内家兔平均升温达0.8℃或更高时,则组内全部家兔不再作用。每一家免使用次数,用于一般药品的检查,不应超过10次。(二)试验前的准备在作热原检查前1-2天,供试用家兔应尽可能处于同一温度的环境中,实验室和饲养室的湿度相差不得大于5℃,实验室的湿度应在17-28℃,在试验全部过程中,应注意室温变化不得大于3℃,应避免噪音干扰试验前家兔停止给食并置于固定器中至少1小时,以使体温达到相对稳定。然后用肛温(或用其他同样的测温装置)测量肛门内体温,肛温计插入肛门的深度和时间各兔应相同(深度一般约6cm,时间不得少于1.5分钟),每膈30-60分钟测量体温1次,一般测量2次,两次体温之差不得超过0.2℃,以此两次体温的平均值作为该兔的正常体温。当日使用家兔正体温应在38.0-39.6℃的范围内,且各兔间的正常体温之差不昨超过1℃。
试验用的注射器、针头及一切和供试吕的溶液接触的器皿,应置烘箱中用250℃加热30分钟或用180℃加热2小时,也可用其他适宜的方法除去热原。
(三)检查法 取适用的家兔3只,测定其正常体温后15分钟以内,自耳静脉缓缓注入规定剂量并温热至约38℃的供试品溶液,然后每隔1小时按前测量其体温1次,共测3次,以3次体温中最高的1次减去正常体温,即为该兔体温升高的度数。如3只家兔中有1只体温升高0.6℃或以上,或3只家兔体温升高均低于0.6℃,但升高的总数达1.4℃或1.4℃以上,应另取5只家兔复试,检查方法同上。
(四)结果判断 在初试3只家免中,体温升高均低于0.6℃并且3只家兔体温升高总数低于1.4℃;或在复试的5只家兔中体温升高0.6℃或0.6℃以上的兔数仅有1只,并且初试、复试合并8只家兔的体温高总数为3.5℃或3.5℃以下,均认为供试品的热原检查符合规定。
在初试3只家兔中,体温升高0.6℃或0.6℃以上的免数超过1只;或在复试的5只家兔中,体温升高0.6℃或0.6℃以上的兔数超过1只;或在初试复试合并8只家兔的体温高总数超过3.5℃,均认为供试品的热原检查不符合规定。
(一)概述 本法系利用鲎试剂与细菌内毒素产生凝集的反应机理,以判断供试品中细菌内毒素的限量是否符合规定的一种方法。
细菌内毒素标准品系自大肠杆菌提取精制得到内毒素。以细菌内毒素国际标准品为基准物,以过协作标定,使标准品单位与国际标准品单位含义一致。用于标定细菌内毒素工作标准品和促裁鲎试剂灵敏度。
细菌内毒素工作标准品系以细菌内毒素标准品为基准物进行标定,确定基重量的相当效价。每1mg工作标准品效价应不小于2EU,不大于50EU,并具备均一性和稳定性的实验数据。效价测定方法如下:每批工作标准品至少取4支样品,使用同一批号鲎试剂、同1支标准品。每支工作标准品按重量、标准品按单位,分别用内毒素检查用水*稀释制备一系列2倍稀释度的内毒素溶液,与鲎试剂反应,当4支工作标准品的反应终点的对数均值的标准差(S)小于0.365时,计算4支工作标准品的反应终点的几何平均值(以ng/mg表示)及标准品的反应终点值以(以EU/mg表示),按下式计算。

(二)试验准备 本法所用的器皿需经处理,除去可能存在的外源性内毒素常用250℃干烤30分钟或180℃干烤2小时,也可用其他适宜方法。试验操作过程应防止微生物的污染。
试验前需核对使用批号鲎试剂的灵敏度标示值,应符合规定。装量加入配带的鲎试剂溶剂。溶解后,为鲎试剂溶液,备用。
供试品的稀释:使用批号鲎试剂的灵敏度标示值小于供试品的内毒限量时,按下式计算,用内毒素检查用水*将供试剂品稀释后进行检查。
供试品的稀释倍数=X/λ
X:供试品的内毒素限量内毒素限量(EU/ml)
λ:供试品鲎度剂灵敏度标示值(EU/ml)
(三)检查 装有0.1ml鲎试剂溶液的10×75mm试管(或0.1ml/支规格的鲎试剂原安瓿)4支,其中2支加入0.1ml供试品作为试品管,1支加入2λ内毒素工作标准品0.1ml作为阳性对照管,1支加入配带的鲎试剂溶液0.1ml作为阴性对照管。将试管轻轻混匀后,封闭管口,垂直放入37±1℃水浴中,保温60±2分钟。保温过程和拿取试管要小心,避免因受到振动造成阴性结果。
(四)结果判断 将试管从水浴中轻轻取出,缓缓倒转1800时,管内凝胶不变形,不从管壁滑脱者为阳性记录为(+)凝胶不能保持完整并从管壁滑脱者为阴性,记录为(一)。供试品2管如为(一),应认为符合规定,不再进行热原检查法(家兔法)试验。如2管均为(+),应认为不符合规定。如2管中1管为(+),1管为(一),按述方法另取4支供试品管复试,4管中有1管为(+)即认为不符合规定。除正文另有规定外,有符合规定的供试品应再以热原检查法(家兔法)试验,并根据的结果判定。
供试品细菌内毒素的限量应符合各品种正文下的规定。
阳性对照为(一)或阴性对照为(+),试验无效。
附 灭菌注射用水、注射用水、氯化钠注射液、5%和10%葡萄糖注射液细菌内毒素检查。
【细菌内毒素】取本品,依法检查,供试品细菌内毒素的限量不应超过1EU/ml。如超过1EU/ml,需经热原检查法(家兔法)判定。
本品为鲎科动物东方鲎(Tachyplecus tridentatus)的血液变形细胞溶解物的无菌冷冻干燥品。
本品含能被微量细菌内毒素激活的凝固酶原(Proclotting enzyme),凝固蛋白原(Coagulagen)其灵敏度以细菌内毒标准品或工作标准品测定,应为标示量的50%-200%。
(一)性状 本品为白色或类白色冻干块或粉末,在水生生理盐水中易溶。
(二)鉴别
1.取本品按装量加水溶解后,加茚三酮试液《中国药典1990年版》(二部附录162页)0.25ml,加热煮沸1-2分钟,显蓝色紫色。
2.取本品按装量加水溶解后,再加水适当稀释,照分光光度法《中国药典1990年版》(二部附录24页)测定,在270±1nm的波长处有单一吸收峰。
3.取本品按装量加入内毒检查用水溶解后,吸取0.1ml加入0.1ml细菌内毒素工作标准品或标准品50EU,混匀后,于37℃水浴中放置1小时,有凝胶形成。
(三)检查 干燥失重:取本品约0.1在g ,在66℃减压干燥至恒得,减失重量不得过5%(中国药典1990年版二部附录55页)。
自身凝集:取本品4支,按装量加入配带的鲎试剂溶剂,溶解后,分别从每支取0.1ml,再分别加入配带的鲎试剂溶剂0.1ml,混匀后,于37±1℃水浴中放置4小时,不得形成凝胶,若有2管以上形成凝胶,判为不合格;若仅有1管形成凝胶,照同样方法,另取8支重复检查,8支均不得形成凝胶。
缓冲能力:任意取5%、10%葡萄糖注射液,氯化钠注射液无菌注射用水或注射用水适量,加稀盐酸调节pH使供试品溶液pH值为2.90-3.00,取此溶液适量与等量鲎试剂溶解液混匀,重复测定,pH值应为6.00-8.00。
(四)灵敏度测定预测:
1.取细菌内毒素工作标准品1支,按说明溶解燕稀稀释成1→8等比系列稀释液。
2.取同一批鲎试剂若干支,分别按标示量加入配带的试剂溶剂制成鲎试剂溶液。取10×75mm试管若干支,分别加入0.1ml鲎试剂溶液,加入内毒素稀释液0.1 ml ,每一稀释液最少作2管,同时作2管阴性对照。轻轻振动上述试管混匀内容物,封闭管口,置37±1℃水浴中。保温60±2分钟观察结果,确定本批鲎试剂灵敏范围,2管阴性对照不得出现阳性结果。
测定:根据预测得到的灵敏范围,将细菌内毒素工作标准品以1→2等比稀释,选择能出现阳性和阴性结果的4个边疆稀释液,每一稀释液作4管,且其最高浓度的4管应均为阳性最低溶液的4管应均为阴性,同上述操作,记录反应结果,计算标准差(s)

X为4组反应终点的数对值,n为4
当s<0.365时,按下式计算本批鲎试剂灵敏度(λ)

(五)用途 用于细菌内毒素检查。
(六)规格 (1)0.1ml;(2)0.5ml。
(七)贮藏 遮光,在冷处保存。有效期暂定1年。
*系指其内毒素含量不超过0.006EU/ml的注射用水。
(一)概念
无菌检查法系指检查药品与微敷料是否无一种方法。
无菌检查法的全部过程应严格遵守无菌操作,防止微生物的污染。
生物制品应按卫生部《生物制品造及检定规程》中有关无菌的检查的规定办理。
(二)培养及基及其制方法
1.需气菌、厌气菌培养基
| 酷冻(胰酶水解) | 15g氯化钠 | 2.5g |
| 葡萄糖 | 5g新鲜配制的0.1%天青溶液 | 1.0ml |
| L胱氨酸 | 0.5g(或新鲜配制的0.2% 亚甲蓝溶液0.5ml) | |
| 硫乙醇酸钠 | 0.5g琼脂 | 0.5-0.7g |
| (或硫乙醇酸0.3ml) | 水 | 1000ml |
| 酵母浸出粉 | 5g |
除葡萄糖和刃天青溶液外,取上述成分加入水内,微温溶解后,调节 pH为北碱性,煮沸,滤清,按量加入葡萄糖和天刃溶液摇匀,调节ph 值使灭菌后为7.1±0.2分装,1150灭菌30分钟。
2.霉菌培养基
| 胨 | 5g硫酸镁(MgSO4.7H2O | 0.5g |
| 葡萄糖 | 10g水 | 1000ml |
| 磷酸二氢钾(KH2PO4) | 1g |
除葡萄糖外,取上述成份加入水内,微温溶解后,调节pH 约6.0,煮沸,加葡萄糖溶解后,摇匀,滤清,调节值使灭菌后为5.8±0.2,分装,1150灭菌30分钟。
3.选择性培养基(1)对氨基苯甲酸培养基(用于磺类药物的无菌检查):照上述需气菌、厌气菌培养基及霉菌培养基的处方及制法,各加对氨基苯甲酸0.125g,溶解后摇匀,分装,1150灭菌30分钟。(2)吐温培养基(用于油剂药品的无菌检查);照上述需气菌、厌气菌培养基及霉菌培养基的处方及制法,各加10ml吐温80,摇匀后,分装,1150灭菌30分钟。
4.普能肉汤培养基
胨 10g 氯化钠 5g 肉浸液100ml
取胨与氯化加入肉浸液内,微温溶解后,调节pH为弱碱性,煮滤清,调节pH值使灭菌后为7.2±0.2,分装,1150灭菌30分钟。
5.普能肉汤琼脂培养基(供细菌用平及斜面),照上述普通肉汤培养基的处方及制法,加入15-20g琼脂,调节pH值使灭菌后为7.2±0.2分装,1150灭菌30分钟。
6.0.5%葡萄糖肉汤培养基
胨 10g 葡萄糖 5g
氯化钠 5g 肉浸液 100ml
取胨与殷化钠加入肉浸液溶解后,调节pH为弱碱性,煮沸,加葡萄糖溶解后摇匀,滤清,调节pH值使灭菌后为7.2±0.2分装,1150灭菌30分钟。
上述培养基分别加按15ml与40ml分装与试管中,装量约为试管高度的的2/5,在1150灭菌30分钟。细菌培养基经30-35℃培养48小时。霉菌培养基经20-257.2±0.2分装,1150灭菌30分钟。
培养72小时后,应无菌生成。
培养基质量应能通过以下检查。
(1)需气菌、厌气菌培养基经按种按每1ml含100个以下的藤黄八叠球菌[CMCC(B)28001]菌液1ml,置30-35℃培养24小时后应生长良好。
(2)需气菌、厌气菌培养基经接种每1ml含50个以下的生孢梭[CMCC(B)64941]菌液1ml,置30-35℃培养24小时后应生长良好。
(3)霉菌培养基经接种每1ml含50个以下的白色念珠菌菌液1m,置20-25℃培养24小时后应生长良好。
[附注]肉浸液制备法:取新鲜牛肉,除去肌腱及脂肪,切细,绞碎后,每1000g加水3000ml,充分拌匀在2-10℃浸泡20-24小时,煮沸1小时,滤过,压肉渣,补足液量分装,121℃灭菌30分钟,置冷暗处备用。也可用牛肉浸膏3g,加水1000ml,配成溶液代替。
(三)对照用菌液
金黄色葡萄糖菌菌液:取金黄色葡萄球菌[CMCC(B)26003]的普通琼脂斜面新鲜培养物1白金耳。接种至需气菌培养基内,在30-35℃培养16-18小时后,用灭菌的生水稀释成1:106。
(四)检查法
1.供试品如为注射液,供角膜创伤物术用的滴眼剂或灭菌溶液,任取供试品2支(瓶)以上,用适当消毒液清洁供试品容器的外表面后,以无菌操作吸取接种量的供试品溶液,分别接种于需气菌、厌气菌培养基5管,其中1管接种对照用菌液1ml,供作阳性对照;另接种于霉菌培养基2管,供试品溶液的每管接种量与培养基的分装量,应根据供试品的装量,按下列规定取用:
| 供试品装量 | 每管接种量 | 培养基分装量 |
| 2ml或2ml以下 | 0.5ml | 15ml |
| 2ml以上至2ml | 1.0ml | 15ml |
| 20ml以上 | 5.0ml | 40ml |
接种后轻轻摇动,使匀。需气菌、厌气菌培养基在30-35℃培养5日,霉菌培养基在20-25℃培养7日,抗生素类药品均培养7日,放射性药品培养5-7日。培养期间应逐日检查是否有菌生长(阳性对照在24小时内应有细菌生长);如在加入供试品溶液后,增培养基出现浑浊或沉淀,经培养后不能从外观上判断时,可取该培养液转种入另1支相同的培养基中或斜面培养基上,培养48-72小时后,观察是否现浑浊或在斜面上有无菌落生长。并在转种的同时,取培养液少量,涂片制成染色标本,用显微镜观察是否有菌生长。
2.供试品如为注射用灭菌粉末或无冻干品,照该药品项下的规定或按该药品剂量项下的溶剂用量加入灭菌用水或灭菌生理盐水,使内容物解成均匀的供试品溶液,取接种量的供试品溶液,接种于上述培养基中。
3.供试品如为供直接分装成注射用无菌粉末的原料药,按各药品项下的规定制成溶液,依法接种于培养基中。
4.供试品如外科敷料,取供试品2个包装,以无菌操作拆开包装,于不同部位前取约1cm×3cm的样品,分别接种于40ml培养基中。
5.供试品如有抑菌作用或含有抑菌物质时,可选用适宜的培养基,或种入较大量的培?
■[此处缺少一些内容]■
?,5ml的培养基中。
(五)结果判断
当阳性对照和显浑浊确有细菌生长时可根据观察所得的结果判定:如需气菌、厌气菌及霉菌培养均为澄清或虽显浑浊但经证明并非有菌生长,均应判为供试品合格;如需气菌、厌气及霉菌及霉菌培养管中任何1管显浑浊并确证为有菌生长,应重新取样,分别依法复试2次,除阳性对照管外,其他各管均不得有菌生长,否则应判为供试品不合格。
(一)中药
1.口服药品 1g或1ml中不昨检出大肠杆菌,含动物药及脏器的药品同时不得检出沙门氏菌。不得检出活螨。
(1)固体制剂:
①不含生药原粉的制剂,1g中含细菌数不得过1000个,霉菌数不得过100个。
②含生药原粉的制剂:
A片剂:1g中含细菌数不得过10000个,霉菌数不得过500个。
B丸剂:1g中含细菌数不得过50000个,霉菌数不得过500个。
C散剂:1g中含细菌数不得过100000个,霉菌数不得过500个。
(2)液体制剂:1ml中含细菌数不得过100个,霉菌和酵母菌数不得过1000个,
2.外用药品1g或1ml中不得检出绿脓杆菌、金黄色葡萄球菌。不得检出活蟥。
(1)眼科用药:1g或1ml中含细菌数不得过100个,不得检出霉菌和酵母菌。
(2)阴道、创伤、溃疡用制剂不得检出破伤风杆菌:1g或1ml中含细菌数不得过1000个,霉菌数不得过500个。
(3)用于表皮,粘膜完整的含生药原粉制剂:1g中含细菌数不得过50000个,霉菌数不得过500个。
3.暂不进行限度要求的药品。
(1)不含生药原粉的膏剂,如狗皮膏、拔毒膏等。
(2)以豆原、神曲等发酵类药材为生药原粉的中药制剂。
(二)化学药及生化药
1.口服药品 1g或ml中不得检出大肠杆菌,含脏器生化制剂同时不得检出沙门氏菌。不得检出活螨。
(1)化学药制剂:1g中含细菌数不得过1000个,霉菌数不得过100个。
(2)生化药制剂:1g中含细菌数不得过1000个,霉菌数不得过100个。
①胃酶片、肝浸膏片、酵母片、胎盘片、力勃隆片1g中含细菌数不得过5000个,霉菌数不得过100个。
②胰酶片、胖得生片、胃得宁片、甲状腺粉1g中含细菌数不得过10000个,霉菌数不得过100个。
③多酶片(含淀粉酶)1g中含细菌数不得过50000个,霉菌数不得过100个。
④淀粉酶、复合磷酸脂酶、胃膜菠萝酶制剂1g中含细菌数不得过100000个,霉菌数不得过100个。
(3)液体制剂:1ml中含细菌数不得过100个,霉菌数不得过100个。
2.外用药品 1g或1ml中不得检出绿脓杆菌、金黄色葡萄球菌。
(1)眼科手术、创伤、溃疡及止血药应无菌。
(2)一般滴眼剂、眼膏剂,1g或1ml中含细菌数不得过100个,不得检出霉菌和酵母菌。
3.暂不进行限度要求的药品
(1)消毒剂、防腐剂,如碘酊、甲紫溶液、红汞溶液等。
(2)口服抗生素制剂。
(三)几点说明
1.各类制剂检出大肠杆菌或其他病菌时按1次检出结果为准,不再抽样复验,该产品作不合格论。
2.细菌数、霉菌数不合格者,应从同一批产吕中随机抽样试2次,以3次检验结果的平均值报告。细菌数、霉菌数任一项不合格时,均作不合格论。
3.未列入标准的其他剂型,根据其用药途径,参照同类剂型的染限度标准执行。药用原料、辅料等原则上参照中药;、化学制剂的有关卫生标准执行。
4.进口药品的菌限度按出口国卫生标准和本标准执行;出口药品合同规定执行。
5.对黄曲霉素的检查方法及限量标准待订。
(四)补充规定
1.中药
(1)胶襄剂:全含生药原粉者,细菌数每克不得过50000个,霉菌数每克不得过500个。部分含生药原粉者,细菌数每克不得过10000个,霉菌数每克不得过500个。
(2)茶剂:含生药原粉者,细菌数每克不得过10000个,霉菌数每克不得过500个。
(3)冲剂:含生药原粉者,细菌数每克不得过10000个,霉菌数每克不得过500个。
(4)胶剂:细菌数每克不得过1000个,霉菌数每克不得过500个。
(5)煎膏剂:细菌数每克不得过100个,霉菌数和酵母菌数每克不得过100个。
(6)膜剂:细菌及霉菌数每10cm2不得过100个。
(7)气雾剂:细菌数及霉菌数每毫均不得过100个。
(8)药酒:细菌数每毫升不得过500个,霉菌数每毫升不得过100个。
(9)口服兼外用的制剂:应分别符合口服外用药品卫生标准的规定。
(10)用于表皮粘膜完整的不含生药原粉的外用制剂,细菌总粉每克或每毫升不得过1000个,霉菌数每克或每毫升不得过100个。
2.含中药和化学的复合制剂。
(1)含生药原粉的剂,细菌数每克不得过10000个,霉菌数每克不得过500个。
(2)不含生药原粉的制剂,细菌数每克不得过10000个,霉菌数每克不得过500个。
(五)补充说明
1.标准中提到的“生药原粉”是指中药的植物药、动物药、矿物药等药材(包括炮制品)经粉碎而制成的粉末。
2.暂进行限度要求的药品:
(1)“不含生药原粉的膏剂”是指外用膏药,如,狗皮膏、拔毒膏、伤湿止痛膏等。
(2)“以豆豉、神曲等发酵类药材为生原粉的制剂”暂不进行限度要求,是指结细菌数、霉菌数暂不控制。但不包括处方以煎煮的豆豉、神曲等为原料的制剂,其规定的控制菌应符合该剂型的卫生标准要求。
3.几点说明中“各类制剂出大肠杆菌或其它致病菌”是采用《药品卫生检验方法》的检验结论。
4.几外观发霉、生虫、生活螨的药品,作不合格论。液体制剂瓶盖周围有发霉或活螨者,作不合格论。不合格无需再抽样复验。
(一)概述 某一种新药或一个新的制剂,于临床使用前,必须经过这个步骤。虽然药物对人的作用,不完全能在动物身上表现出来,但对一个新药物来说仍是一个很有用的参考数据。因此,为保证病人的用药安全,新药在临床应用前一定要进行毒性试验。毒性试验的类型,可根据药物的性质及使用途径、方法和时间等加以选择。如有的药物后则产生中毒症状;有的药物需长期服用才能秦效等。因此,药物的毒性试验,应根据该药物的特点来决定。
(二)急性毒性试验(一般安全试验)取体重18-22g的健康不白鼠5只,由尾静脉(或腹腔)注射一定剂量的药液(容量以0.5ml为宜,可用注射生理水稀释成不同浓度),注射时间为4-5秒,观察有无不良反应(如惊厥、四肢瘫痪、步伐不稳、竖毛、呼吸抑制等)或死亡。主要以死亡为指标,注射后48小时内不得有死亡。如有死亡应加取小白鼠10只重新试验,全部小白鼠在48小时内不得有死亡(做过本试验的小白鼠不得重复使用)。
【注】①供试品静脉有困难时,可由腹腔注射,注射量仍为0.5ml,注射时间不限,注射后72小时内不得有死亡。
②若某一药物无安全试验剂量时,可将临床人用剂量乘以一定的安全系数然后再折算成小白鼠体重的剂量。安全系数大小,应根据该药物的纯度及临床试验情况而定,一般治疗性药物可定为50-100,需长期服用的药物可为100以上。
例:某注射液,成人(按体重50kg计),每次注射量为4ml,安全系数为50,则小白鼠(按20g计)的给药剂量为:
小鼠剂量=4×50/50000×20=0.08ml
取该药0.08ml加0.9%氯化注射液稀释成0.5ml,作为供试品的注射用量。
③也可用同样方法试验(即某一剂量注入小白鼠内,若5只中只有1只死亡,则减剂量再试直至试出5只小白鼠均不死亡的最大剂量)。求出某药物的安全系数。
计算公式:
安全系数=小白鼠最大耐受量×成人体重(g)/成人用量×小白鼠体重(g)。
例:某药特的剂量为4ml,当剂量为0.2ml(稀释至0.5ml),给小白鼠静脉注埋时引起死亡,减剂量再试,在0.16ml/20g时,没有反应,故含有苯甲醇的注射剂,对试验往产生干扰,应引起注意。
④苯甲醇对小白鼠有一定毒性反应,故含有苯甲的注射剂,对试验结果往往产生干扰,应引起注意。
(三)亚急性和慢性试验需要较长期投用的药物,应做亚急性或慢性毒笥试验。方法和急性毒性试验基本相同,按小白鼠体重计算,每在在口服或腹腔注射剂量为人用剂量的20-50倍,连续用药1-8周。慢性毒性,连续用3-6个月。在用药期间,应仔细观察试验动物的体重、进食量、进水量的变化,以及有无不良反应或死亡。动物在试验前后,均应做血象、肝、肾等功能检查,以资对照。试验中死亡或试验完毕的动物都要做解剖,观察内脏器管和组织切片检查。根据试验结果,判断可否用于临床。
【注】①亚急性,慢性毒性试验,均应设对照。这是由于的饲养环境和健康情况的不同个体差异往往很大,给药后内脏的变化如无空白对照组做比较,常使实验结果难以判断。
②非经口服的药品,应注意须灭菌后作用,以免动物被染而影响结果。
③毒性实验的给药途径,应尽量采用与临床应用的相同方法。给药途径不同毒性表现常是差别很大,如口服给药的LD50比静脉或腹腔注射的LD50大几十倍。
④毒性实验前,实验设计要考虑周密,应尽力避免实验中临时改变条件。实验用的动物,一般应在本实验室条件下2周以上,使动物适应环境后,再进行实验。
⑤实验室要注意加强对动物的管理,保持清洁卫生。对实验中途死亡的动物应做出客观的分析,以便正确总结判断。
⑥毒性实验中,除记录计量指标外,支动物的一般状态如兴奋、抑制、麻痹、呼吸、食欲、体重等应进行仔细地观察、对实验中药物出现作用的时间,速度以及毒副作用的特点等,均应严密观察,并详细记录,以便进行综合分析。
⑦在亚急性、慢性毒性实验中,应根据药物的性质和实验要求的不同,在给药前后以及实验时,对实验动物易发生毒性反应的主要器官进行检查。检查项目有:
A血象:包括血色红素、红、白细胞及分类计数等。
B肝功能:肝脏是机体重要的代谢器官,不仅对糖、蛋白质及脂类代谢起得要作用,也是许多药物在体内的解毒场所,故应进行肝脏功能的检查。
C肾功能:大部分药物从肾脏排泄,故应测定药物对肾功能有无损害及其损害的程度,其中包括血中非蛋白氮含量,小便常规检查。
D组织切片:可进一步了解药物对各脏器有无损害及其损害的程度。可将动物在不同的期内分批处死、取其心,肝、脾、肺肾、胃、肠等进行切片检查,并与对照比较,观察药物对各组织有无可逆或不可逆损害。
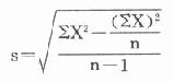
(四)半数致死量的测定半数致死量(简称LD50)是指药物引起实验动物半数死亡的剂量。由于个体差异,同一剂量的药物给同一动物,可以出现死亡或不死亡。而LD50在表示药物毒性时,比较灵敏,准确。一般以每kg多少mg表示(药物剂量/体重)
测定LD50常用动物为小白鼠,体重18-22g,雄雌均可(雌的不得怀孕)将不同性别和体重的动物均匀分成4或6组,每组10只。给药途径和临床应用相同,给药容量以0.5ml为宜。一般观察3天,以死亡为主要指标。
1.机率单位比例法 精密称取适量的检品(如系溶液可精密量取),按等比级数(0.1、0.3、0.9……)或等差级数(0.1、0.2、0.3……)配成4种或6种浓度,分别用于4组或6组小白鼠,观察在一定时间内死亡情况,找出使小白鼠死亡数在50%以上和50%以下的两个剂量(如各组小白鼠均无死亡或全死亡则表示剂量选择不当,须更换较高或料低剂理重试),按下列公式计算出半数致死量。

M=高剂量的对数值
N=低剂量的对数值
A=高剂量所致小白鼠死亡百分率(大于50%)的机率单位
B=低剂量所致小白鼠死亡百分率(小于50%)的机率单位
5=50%死亡百分率的机率单位
例:乌头碱注射液急性毒性试验结果。见下表。
乌头碱注射液急性毒性试验结果
| 剂量(mg/kg) | 剂量对数值 | 死亡百分率 | 机率单位 |
| 29.50 | 1.4698 | 90 | 6.28 |
| 23.75 | 1.3756 | 40 | 4.7 |

LD50=24.60mg/kg
2.简化机率单位法
(1)剂量预试:取小白鼠9只,均分3组,将被试药物分大中小3个剂量,每个剂量各给1组动物观察一定时间的死亡情况。如3组全死或全不死,应重新选择剂量再试,二至找到死亡率大于和小于50%的剂量。
(2)正式试验:取18-22g的健康小白鼠,雌雄兼有,按体重、性别均匀分组,每级10只。将预试中的找到的剂量范围按等比级数分成2-4个剂量(须有使动物死亡率大于50%和小于50%的两种剂量),剂量间的比例范围内为宜。每个剂量各给1组动物。给药生观察3天(有的可延长到7天),记录动物的一般状态和死亡数目。根据各剂量的组的死亡率,简化机率单位求出LD50,其分工如下:

【注】用本法则定药物的LD50,在一般情况下采用两组即可,将实验果代入分2组时的公式中求出。分3组、4组皆可,分组多,用动物多,计算复杂,但更准确。
例:某新药,要测定对小白鼠口服给药的LD50,首先进行剂理预试,将该药物先分为700、800和1000mg/kg3种剂量,每剂量给3只小白鼠灌胃,观察2天,结果700mg/kg组死亡1只,800 mg/kg组残废只,1000mg/kg组全部死亡。这样,就找到了死亡率小于50%的剂量为700mg/kg;大于50%的剂量为800和1000mg/kg,依上述情况。估计用670和800 mg/kg可使动物死亡20% 和60%左右,两组剂量之比670/800为0.84。符合本法剂量比值范围的要求。若分2组时用此两剂量可以实验;若用3组时,可按同样的剂量比求出第三组剂量,即800/0.84=952。这样,670、800和952mg/kg3个剂理组即成等比级数,其中每相邻两剂量比均为0.84。然后各剂量的组均给10只动物,观察3天,记录动物的一般状态和死亡情况,结果如下表:
LD50实验观察表
| 组别 | 剂量(mg/kg) | 剂量对数(X) | 鼠数 | 三天内死亡数 | 死亡率(%) | 机率单位(y) | 机率单位平均值(y) | 两剂量比值的对数(i) |
| 1 | 670 | 2.8261 | 10 | 2 | 20 | 4.16 | ||
| 2 | 800 | 2.9031 | 10 | 8 | 70 | 5.52 | 5.32 | 0.77 |
| 3 | 952 | 2.9786 | 10 | 9 | 90 | 6.28 |
本实验分3组。故代入分3组时的计算公式:

(一)家兔点眼法取家兔5只,将药液生理盐水各0.05-0.1 ml,分别滴入左右此结膜襄内(或注入眼球结膜下),观察数小时(对有剌激性药物应观察至作用完全消失,结膜恢复正常),与对照眼比较,观察结膜有无充血,水肿、眼分泌物增多,能否恢复等情况。如2只免以上均有上述症状表示有剌激作用,观察项目如下:
水泡:眼皮内有小水泡凸起。
分泌物:积存于眼内外两侧眼角。
红肿:眼皮内表皮红肿。
充血:眼结膜有血丝或全部发红。
流泪:内眼留有泪珠,严重者成线状滴下。
羞明:怕光,眼晴紧闭。
(二)腿肌注射法家兔、大鼠、小鼠均可供试。取药液1ml,分别注入家免左右后腿四头肌部位(小鼠注0.1ml,大鼠注0.2ml)24小时或48小时后,纵向切开注射部位肌肉,观察局部有无充血、水肿、变性或坏死等现象,必要时取小块组织做理切片检查。如局部组织有严重炎症反应,则不宜做注射或粘膜、创伤面给药。
(三)兔耳皮下注射法将药液和生理盐水各0.05-0.1ml,分别皮下注射至家兔左右耳壳内(注射时要避开小血管),观察局部有无剌激现象或硬结、坏死等,至作用完全消失,注射部位愀复正常为止。
(一)2%红细胞生理盐水混悬液制备 取动物新鲜血液,加入装有玻璃的三角烧瓶中,振摇数分钟或用玻璃棒搅拌,除去纤维蛋白原,用生理盐水冲洗,离心2-3次,至上清液不呈红色为止。然后按红细胞的理用生理盐水配成2%的混悬液。
(二)试验方法 取干净试管6支,按表排列,依次分别加入各种溶液,摇匀,置370恒湿箱中(或250-270室温中)并分别观察,记录1/2、1、2、3小时的结果,如溶液变清呈红色,则表示溶血,必要时用显微镜观察红细胞是否破裂。如供试药液0.3m在半小时内引起容血即不宜做静脉注射用。3小时不引起溶血作为合格。当结果难以判定时,可结合毒性、剌激性与疗效等全面考虑是否可供试注射用。
溶血试验记录表
| 试管(号) | 1 | 2 | 3 | 4 | 5 | 6 |
| 供试药液(ml) | 0.1 | 0.2 | 0.3 | 0.4 | 0.5 | 空白(对照) |
| 生理盐水(ml) | 2.4 | 2.3 | 2.2 | 2.1 | 2.0 | 2.5 |
| 2%红细胞混悬液(ml) | 2.5 | 2.5 | 2.5 | 2.5 | 2.5 | 2.5 |
药物的过敏反应系人体对药物的一特殊反应。这种反应与药物的治疗作用和毒副作用,以及药物剂量的大小有直接关系,如青霉素对多数人并不产生毒副作用,但对少数人却能引起严重的过敏反应,药物的过敏性反应是机体对药物的一种变态反应。当机体接受某些药物或其他杂质(抗原)后,在机体内产生了相应的抗体,这时机体对这种抗原的敏感性增高,若机体再接受(口服、吸入、注射、粘膜吸收、皮肤接触等)这种药物或杂质时,即作为抗作与机体的抗体发生原抗反应。这种由于药物所引起的变态反应,称为药物的过敏反应。
(一)实验方法 取体重250-350g的健康豚鼠6只,每鼠隔日腹腔注射药液0.5ml,共注射3次。自第一针起14日后,由股静脉或颈静脉注射药液1ml,或腹腔注射2ml。观察注射后有无喷嚏、抽搐、休克等过敏反应,结果为阴性时,隔7日后再由静脉注射原药液1ml或腹腔注射2ml,观察有无过敏反应。
(二)结果判断 注射液后15分钟内,若无连续干咳、抓鼻及明显竖毛、四肢发软、躺卧、呼吸困难、痉挛、虚脱或死亡等症状(或仅有1只豚鼠前爪抓鼻和干咳均不超过3次),作为阴性反应;若有1只鼠出现痉挛、虚脱及死亡或1只以上豚鼠出现干咳,前爪抓鼻,竖毛,四肢发软、吸收困难等一种以上症状,则作为阳性的反应。
【注】过敏试验所试动物,一般选用豚鼠,因豚鼠对变态反应较敏感,症状也较典型。