利尿药(diuretics)是作用于肾,增加电解质及水排泄、使尿量增多的药物。临床应用很广。常用的利尿药按它们的效应力分类如下:
1.高效利尿药 有呋塞米、依他尼酸及布美他尼等。
2.中效利尿药 包括噻嗪类利尿药及氯酞酮等。
3.低效利尿药 包括留钾利尿药如螺内酯,氨苯蝶啶、阿米洛利。碳酸酐酶抑制剂乙酰唑胺。
为了正确理解各类利尿药的作用及其机制,合理使用利尿药,将先介绍与利尿药有关的肾泌尿生理并分析各类利尿药的作用部位。
尿液的生成是通过肾小球滤过、肾小管再吸收及分泌而实现的,现分述如下:
血液流经肾小球、除蛋白质和血细胞外,其他成份均可滤过而形成原尿。原尿量的多少决定于有效滤过压。凡能增加有效滤过压的药物当可利尿。如氨茶碱,通过增加心肌收缩性,增加肾血流量及小球滤过率而利尿。但其利尿作用极弱,一般不作利尿用。正常人每日能形成180升原尿,但进入输尿管的终尿每日仅1~2升,可见约99%的原尿在肾小管被再吸收,它是影响终尿量的主要因素。目前常用的利尿药多数是通过减少肾小管对电解质及水的再吸收而发挥利尿作用的。
1.近曲小管 此段再吸收Na+约占原尿Na+量的60%~65%,原尿中约有90%的NaHCO3及部分NaCl在此段被再吸收。
Na+在近曲小管的转运可分成二相,Na+通过腔膜侧进入胞内;再通过基底膜离开细胞,后者由钠泵(K+、Na+、-ATPase)所驱动,此外,Na+在近端管可通过Na+-H+反向转运系统(antiporter)与H+按1:1进行交换而进入细胞内。H+由小管细胞分泌到小管液中,并将小管液中的Na+换回到细胞内。H+的产生来自H2O与CO2所生成的H2CO3,这一反应需上皮细胞内碳酸酐酶的催化,然后H2CO3再解离成H+和HCO3-,H+将Na+换入细胞内,然后由Na+泵将Na+送至组织间液。

若H+的生成减少,则Na+-H+交换减少,致使Na+的再吸收减少而引起利尿。碳酸酐酶抑制剂乙酰唑胺(acetazolamide,diamox)能使H+的生成减少而发挥利尿作用。但作用弱,易致代谢性酸血症,故现少用。
目前尚无高效的作用于近曲小管的利尿药,原因是药物抑制了近曲小管Na+的再吸收后,使近曲小管腔内原尿增多,小管有所扩张,原尿吸收面积增大,尿流速度减慢而停留时间延长,从而近曲小管本身出现代偿性再吸收,同时近曲小管以下各段肾小管也出现代偿性再吸收增多现象。
2. 髓袢升枝粗段的髓质和皮质部髓袢升枝的功能与利尿药作用关系密切。也是高效利尿药的重要作用部位,此段再吸收原尿中30%~35%的Na+,而不伴有水的再吸收。髓袢升枝粗段NaCl的再吸收受腔膜侧K+-Na+-2Cl-共同转运(co-transport)系统所控。该转运系统可将2个Cl-,一个Na+和一个K+同向转运到细胞内,其驱动力来自间液侧K+、Na+-ATP酶对胞内Na+的泵出作用,即共同转运的能量来自Na+浓度差的势能,进入胞内的Cl-,通过间液侧离开细胞,K+则沿着腔膜侧的钾通道进入小管腔内,形成K+的再循环。

图27-1 比较三类(四个药)重要利尿药的作用部位(在肾单位用黑色标记)、作用强度、作用持续时间以及不同电解质自尿中的排出量
当原尿流经髓袢升枝时,随着NaCl的再吸收,小管液由肾乳头部流向肾皮质时,也逐渐由高渗变为低渗,进而形成无溶质的净水(free water,CH2O),这就是肾对尿液的稀释功能。同时NaCl被再吸收到髓质间质后,由于髓袢的逆流倍增作用,以及在尿素的共同参与下,使髓袢所在的髓质组织间液的渗透压逐步提高,最后形成呈渗透压梯度的髓质高渗区。这样,当尿液流经开口于髓质乳头的集合管时,由于管腔内液体与高渗髓质间存在着渗透压差。并经抗利尿激素的影响,水被再吸收,即水由管内扩散出集合管,大量的水被再吸收回去、称净水的再吸收,这就是肾对尿液的浓缩功能。

图27-2 髓袢升枝粗段细胞的Na+、K+、2Cl-共同转运系统
P=Na+-K+-ATP酶
实线──代表主动转运或次级主动转运
虚线┄┄代表被动弥散
综上所述,如当髓袢升枝粗段髓质和皮质部对NaCl的再吸收被抑制时,一方面肾的稀释功能降低(净水,即非渗透压所吸引的水生成减少);另一方面肾的浓缩功能也降低(净水再吸收减少),排出大量渗透压较正常尿为低的尿液,就能引起强大的利尿作用。高效利尿药呋塞米等,可抑制升枝粗段髓质和皮质部对氯化钠的再吸收,使肾的稀释功能降低,净水生成减少,同时又使肾的浓缩功能降低。中效噻嗪类利尿药等,抑制髓袢升枝粗段皮质部(远曲小管开始部分)对NaCl的再吸收,使肾的稀释功能降低,但不影响肾的浓缩功能。
3. 远曲小管及集合管 此段再吸收原尿Na+约5%~10%,其再吸收方式除继续进行Na+-H+交换外,同时也有Na+-K+交换过程,这是在醛固酮调节下进行的。醛固酮有三个作用:增加渗透酶蛋白(permeaseproteins)的合成而增强腔膜侧Na+的内流;兴奋间液侧的K+-Na+-ATP酶;促进细胞的生物氧化过程以提供ATP,为Na+泵活动供能,通过这些作用增加远曲小管、集合管对Na+的再吸收并分泌K+。如能抗醛固酮的调节功能或直接抑制K+-Na+交换,就会造成排Na+留K+而致利尿。螺内酯、氨苯蝶啶等药作用于此部位,它们又称留钾利尿药。
了解利尿药的作用部位,有助于理解各类利尿药效应力的高低,因后者是作用部位对Na+的再吸收能力所决定的。当然,实际用药效果还受药物用量、肾血流及血容量等因素的限制。
某种利尿药对电解质的排泄也与该药的作用部位有关,人体主要电解质是Na+、K+、Cl-、HCO3-,现有的各种利尿药都是排钠利尿药,用药后Na+和Cl-的排泄都是增加的,其排泄量的多少与利尿效应力一致,对钾的排泄,除留钾利尿药外,其他利尿药都能促进钾排泄。因它们不抑制远曲小管的K+-Na+交换,而且由于它们在远曲小管以上各段减少了Na+的再吸收,使到达远曲小管的尿液中含有较多的Na+,因而K+-Na+交换有所增加,另一方面由于利尿药降低血容量而激活肾压力感受器及肾交感神经而促进肾素的释放,其结果是使醛固酮分泌增加,因而促进K+-Na+交换而导致K+外排增多。故应用这些利尿药时应注意补K+。排HCO3-最多的利尿药为乙酰唑胺。噻嗪类利尿药也可使HCO3-的排泄略有增加,见表27-1。
表27-1 常用利尿药对电解质排泄及排钠力比较
| 药物 | 尿电解质的排泄 | 排钠力(滤过Na+量%) | 主 要 作 用 部 位 | 机 制 | |||
| Na+ | K+ | Cl- | HCO3- | ||||
| 呋塞米 依他尼酸 布美他尼 | +++ | + | ++++ | 0 | ~23 | 髓袢升枝粗段髓质和皮质部 | 抑制Na+、K+、 2Cl-共同转运 系统 |
| 噻嗪类 氯酞酮 | ++ | + | ++ | + | ~8 | 髓袢升粗段皮质部(远曲小管开始部位) | 抑制NaCl再吸收 |
| 螺内酯 氨苯蝶啶 阿米洛利 乙酰唑胺 | + + | - ++ | + 0 | 0 +++ | ~2 ~4 | 远曲小管及集合管 近曲小管 | 竞争Ald受体阻 Na+通道,抑制 NaCl再吸收 ↓胞内H+形成 |
有呋塞米(furosemide,呋喃苯胺酸),依他尼酸(etacrynic acid,利尿酸),布美他尼(bumetanide)。它们的化学结构如下:

以上三药的药理特性相似,它们作用于髓袢升枝粗段,能特异性地与Cl-竞争Na+-K+-2Cl-共同转运系统的Cl-结合部位,抑制NaCl再吸收而发挥强大的利尿作用。
【药理作用】三药使肾小管对Na+的再吸收由原来的99.4%下降为70%~80%。在水与电解质平衡保持于正常水平时,持续给予大剂量呋塞米可使成人24小时内排尿50~60升。静注呋塞米可增加肾血流30%,并见前列腺素E(PGE)量增加,它在内源性肾功能受损的情况下可发挥保护作用,对急性肾功能衰竭有利。
高效利尿药可使小管液中Na+、Cl-浓度,尤其是Cl-的浓度显著增高,因而降低肾的稀释与浓缩功能,排出大量近于等渗的尿液。同时也增加Ca2+、Mg2+的排泄。Cl-的排出量往往超过Na+,故可出现低氯碱血症。
布美他尼也有磺胺基团,但效价较呋塞米高,量效曲线提示,0.125mg的布美他尼相当于11.5mg的呋塞米,通常单次口服0.5mg布美他尼相当于28.7mg呋塞米。
【体内过程】高效利尿药口服30分钟内、静注5分钟后生效,2小时作用达峰值,维持6~8小时。布美他尼与呋塞米,二者的表现分布容积约为0.15L/kg,血浆蛋白结合率约95%,然布美他尼的生物利用度是呋塞米的二倍。可能是由于所需剂量较低而吸收更完全之故。它们都经肾小球滤过,并通过近曲小管有机酸转运机制分泌而从尿中排出。约1/3经胆汁排泄,反复给药不易在体内蓄积。
【不良反应】
1.水与电解质紊乱常为过度利尿所引起,表现为低血容量、低血钾、低血钠、低氯碱血症等。低血钾症的症状为恶心、呕吐、腹胀、肌无力及心律失常等,严重时可引起心肌、骨骼肌及肾小管的器质性损害及肝昏迷,故应注意及时补充钾盐,加服留钾利尿药可避免或减少低血钾的发生。长期应用还可引起低血镁、K+和Mg2+之间的内在关系已明确,当低血K+与低血Mg2+同时存在时,如不纠正低血Mg2+,即使补充K+也不易纠正低血钾。
2.高尿酸血症和高氮质血症前者主要由利尿后血容量降低、胞外液浓缩,使尿酸经近曲小管的再吸收增加所致。另一原因是利尿药和尿酸经有机酸分泌途径排出时相互竞争,长期用药时多数病人可出现高尿酸血症,但临床痛风的发生率较低。
3.胃肠道反应表现为恶心、呕吐、上腹部不适,大剂量时尚可出现胃肠出血。
4.耳毒性呈剂量依赖性,表现为眩晕、耳鸣、听力减退或暂时性耳聋,依他尼酸最易引起,且可发生永久性耳聋。组织学检查发现耳蜗管基底膜毛细胞受损伤,内淋巴电解质成分改变,如Na+、Cl-浓度的升高等可能与耳毒有关,耳毒性主要发生在肾衰者使用高剂量利尿药时。布美他尼的耳毒性最小,为呋塞米的1/6,对听力有缺陷及急性肾衰者宜选用布美他尼。
【药物相互作用】氨基苷甙类抗生素及第一、二代头孢菌素等可增强高效利尿药的耳毒作用,应避免合用。非甾体抗炎药如吲朵美辛可减弱或抑制它们的排Na+作用,尤其在血容量降低时。华法林、氯贝特等可与它们竞争血浆蛋白的结合部位,而增加药物的毒性。
噻嗪类(thiazides)利尿药有共同的基本结构,是由杂环苯并噻二嗪与一个磺酰胺基(-SO2NH2)组成。其一系列的衍生物是在2、3、6位代入不同基团而得。
化学结构上的微小改变就能改善药物的吸收,增强利尿强度,同时减轻对碳酸酐酶的抑制等,按等效剂量比,本类药物中各个利尿药的效价强度可相差达千倍,从弱到强的顺序依次为:氯噻嗪(chlorothiazide)<氢氯噻嗪(hydrochlorothiazide)<氢氟噻嗪(hydroflumethiazide)<苄氟噻嗪(bendroflumethiazide)<环戊噻嗪(cyclopenthiazide)。但噻嗪类药物的效能相同,所以有效剂量的大小在各药的实际应用中并无重要意义。氯酞酮(chlortalidon)无噻嗪环结构,但其药理作用相似,故在此一并介绍。
表27-2 噻嗪类利尿药及氯酞酮的化学结构

【药理作用】
1.利尿作用噻嗪类药物作用于髓袢升枝粗段皮质部(远曲小管开始部位)抑制NaCl的再吸收,此段排Na+量达原尿Na+的10%~15%,尿中除含较多的Cl-及Na+外,还含K+。长期服用可致低血钾、低血镁。本类药物具有碘酰胺基的结构,对碳酸酐酶有轻度抑制作用,所以也略增加HCO3-的排泄。
2.抗尿崩症作用噻嗪类利尿药能明显减少尿崩症患者的尿量,主要用于肾性尿崩症及加压素无效的垂体性尿崩症。其机制与噻嗪类对磷酸二酯酶的抑制作用有关,因此增加远曲小管及集合管细胞内cAMP的含量,后者能提高远曲小管对水的通透性。同时因增加NaCl的排出、造成负盐平衡,导致血浆渗透压的降低,减轻口渴感和减少饮水量,也使胞外容量减少和导致尿量减少。
3.降压作用它们是重要的抗高血压药物,详见抗高血压药章。
【体内过程】口服吸收良好,除氯噻嗪吸收率只有30%~35%外,其他噻嗪类药因脂溶性高,吸收率都在80%以上。它们在体内不被代谢,主要通过肾小球滤过及近曲小管分泌而排泄,少量由胆汁排泄。其中氢氯噻嗪的生物利用度约为70%,有较大的Vd,t1/2为8~10小时。本类药物可通过胎盘进入乳汁。
【不良反应】
1.电解质紊乱 如低血钾、低血镁、低氯碱血症等。
2.潴留现象如高尿酸血症、高钙血症,主要是药物减少细胞外液容量,增加近曲小管对尿酸的再吸收所致,痛风者慎用。
3.代谢性变化与剂量有关,可致高血糖、高脂血症。致肾素、醛固酮的过度分泌。对血脂可使血清甘油三酯及低密度脂蛋白-胆固醇(LDL-cho)量增加,同时伴有高密度脂蛋白(HDL)的减少,有报道同时应用β受体阻断药可防止利尿药引起的LDL-cho的升高。还可降低糖耐量,使血糖升高,可能是抑制了胰岛素的分泌或抑制肝PDE,因此使cAMP中介的糖原分解作用加强,糖尿病者慎用。
4.高敏反应 如发热、皮疹、过敏反应。
5.其他 可增高血尿素氮,加重肾功能不良。无尿及对磺胺过敏者禁用本类药物。
包括留钾利尿药及乙酰唑胺。
螺内酯(spironolactone)又名安体舒通(antisterone),化构与醛固酮相似,具有抗醛固酮作用,已知醛固酮从肾上腺皮质释放后,能进入远曲小管细胞,并与胞浆同受体结合成醛固酮-受体复合物,然后移入胞核,并诱导特异mRNA的形成,后者促进一种能调控管腔膜对Na+、K+通透性的蛋白质的合成等。螺内酯可与醛固酮竞争醛固酮受体,最终阻碍蛋白质的合成,因此螺内酯能抑制Na+-K+交换,减少Na+的再吸收和钾的分泌,表现出排Na+留K+作用。
螺内酯的利尿作用不强,起效慢而维时久,其利尿作用与体内醛固酮的浓度有关。仅当体内有醛固酮存在时,它才发挥作用。对切除肾上腺的动物则无利尿作用。由于其利尿作用较弱,抑制Na+再吸收量还不到3%,因此较少单用。常与噻嗪类利尿药或高效利尿药合用以增强利尿效果并减少K+的丧失。
【不良反应】久用可引起高血钾,尤当肾功能不良时,故肾功能不良者禁用。还有性激素样副作用,可引起男子乳房女性化和性功能障碍,致妇女多毛症等。
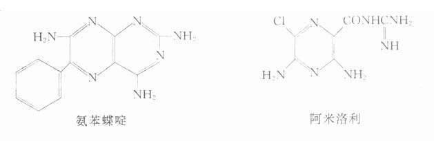
氨苯蝶啶(triamterene,三氨蝶啶)及阿米洛利(amiloride,氨氯吡脒)虽化构不同,却有相同的药理作用,它们的化学结构如下:

二药作用于远曲小管及集合管,阻滞Na+通道而减少Na+的再吸收,因而可发挥较弱的利尿作用。同时K+的排泄减少。当醛固酮分泌量过多时,或与其他利尿药合用时,其留钾作用更为明显,二药作用并非竞争性拮抗醛固酮所致。因它们对切除肾上腺的动物仍有留钾利尿作用。现认为是药物抑制远曲小管及集合管对K+的分泌所致。但原始作用仍是减少Na+的再吸收,由于Na+的再吸收减少,使管腔的负电位减小,管腔内外电位差下降,乃使钾分泌的驱动力减小。在远曲小管阿米洛利还抑制钙的排泄,这一作用也是与抑制Na+再吸收相偶联的。
【不良反应】二药长期服用均可引起高血钾症。肾功能不良者、糖尿病者、老人较易发生。其中氨苯蝶啶还抑制二氢叶酸还原酶,引起叶酸缺乏。肝硬化病人服用此药可发生巨幼红细胞性贫血,偶可引起高敏反应及形成肾结石。
1.消除水肿这是利尿药的主要适应证,水肿常见于心、肝、肾性疾病,其病因及病理变化虽不相同,但基本表现均是细胞间液增加,Na+潴留是细胞间液增加的主要因素,利尿通过排Na+、排水而治疗水肿。在应用利尿药前要注意下列几点:①对基本疾病作病因治疗;②动员组织间水肿液或体腔中积液进入血液循环,便于利尿消肿。这就要求患者卧床休息并进行支持疗法等;③用低盐饮食以减少体内Na+量;④注意治疗失败的可能,如观察肾小球滤过率是否下降,醛固酮分泌是否继发性增多等。
(1)心性水肿治疗心性水肿主要依靠改善心功能,利尿药能减少或消除水肿而降低心负荷、改善心功能。用噻嗪类利尿药,宜加用钾盐。对中度水肿可用氢氯噻嗪加留钾利尿药。对一般利尿药无效的严重水肿,可合用高效利尿药和留钾利尿药,要定期检查血钾含量。此外,利尿药的用量不宜过大,否则尿液排泄速度超过水肿液进入血浆的速度,会引起继发性醛固酮增多而降低利尿作用。
(2)肾性水肿急性肾炎时,一般不用利尿药,必要时用氢氯噻嗪。主要采用无盐膳食和卧床休息以消退水肿。肾病综合征时,水肿的形成与大量蛋白尿引起血浆白蛋白减少及血浆胶体渗透压下降有关。又因循环血量减少可继发性地致醛固酮分泌增加,导致NaCl及水再吸收的增加而加重水肿。故应限水限NaCl,并给予白蛋白以提高胶体渗透压。对高度水肿者可用噻嗪类药物加留钾利尿药。效果不明显时可用高效利尿药加留钾利尿药。
(30)肝性水肿肝性水肿多伴有继发性醛固酮增多症,所以开始治疗时不宜采用高效利尿药,否则将会引起严重的电解质紊乱,甚至因严重低血钾症而诱发肝昏迷。一般宜先用留钾利尿药,或留钾利尿药加噻嗪类利尿药,如疗效不显著,可合用留钾及高效利尿药。
(4)急、慢性肾功能衰竭高效利尿药可预防急性肾功能衰竭和治疗急性肾衰早期的少尿,能增加尿量及尿流速度,防止肾小管萎缩、坏死及急性肾衰时的无尿。呋塞米还可治疗慢性肾功能衰竭,但需大量。用药后可使尿量明显增加。当肾小球滤过率降至2ml/min时,或当其他利尿药无效时,仍可有效。
(5)急性肺水肿及脑水肿静脉注射呋塞米等高效利尿药可对此发挥良好效果。它们能使血容量及细胞外液明显减少,进而降低回心血量,减少左室充盈压及降低肺楔压。还可通过舒张血管、增加静脉容量、降低左室舒张末压而消除肺水肿,已证明呋塞米等促进血管扩张物前列腺素的释放,也可中介上述效应。对脑水肿合并左心室功能不全者也有良效。
2.慢性心功能不全的治疗 详见二十五章
3.高血压的治疗 详见二十六章
4.尿崩症肾性尿崩症,最常用噻嗪类利尿药,用药二天排出大量Na+后见效。垂体性尿崩症,常用加压素治疗,而利尿药可作为辅助治疗,通过降低胞外容量,促进远曲小管再吸收而使尿量减少。
5.特发性高尿钙症和钙结石治疗量噻嗪类利尿药可使正常人、原发性甲状旁腺功能亢进及高尿钙患者尿钙的排出显著降低,用于防止钙结石的形成,是因本类药物能增强远曲小管对Ca++的再吸收。
6.高血钙症强效利尿药抑制髓袢升枝粗段对钙的再吸收,增加钙排出而降低血钙。
7.加速某些毒物的排泄当某些药物或毒物急性中毒时,可选用高效利尿药强迫利尿,同进配合输液,使尿量在一天内达5升以上,可加速毒物排出,但这一作用仅对以原型自尿排出的药物或毒物有效。
8.青光眼乙酰唑胺已少作利尿药使用,但可用于治疗青光眼,因它可使眼房水生成减少而降低眼内压。
9.选用药物可参考表27-3。
表27-3 常用利尿药利尿作用的比较
| 药 物 | 利尿作用 | ||
| 开始时间 | 峰值时间(h) | 维持时间 | |
| 袢利尿药 | |||
| 呋塞米 | 口服 60分 静注5~10分 | 1~2 15~20分 | 6~8 1~3 |
| 依他尼酸 | 口服 30分 静注5~10分 | 1~2 15~20分 | 6~8 1~3 |
| 布美他尼 | 口服 30分 静注5~10分 | 1~2 15~20分 | 6~8 1~3 |
| 噻嗪类利尿药 | |||
| 氯噻嗪 | 2 | 4 | 6~12 |
| 氢氯噻嗪 | 2 | 4 | 6~12 |
| 氢氟噻嗪 | 1~2 | 3~4 | 18~24 |
| 苄氟噻嗪 | 1~2 | 6~12 | 18~24 |
| 环戊噻嗪 | 6 | 7~12 | 18~24 |
| 氯酞酮 | 2 | 6 | 48~72 |
| 留钾利尿药 | |||
| 螺内酯 | 24 | 48~72 | 72~96 |
| 氨苯蝶啶 | 2~4 | 6 | 7~9 |
| 阿米洛利 | 2 | 6 | 12~24 |