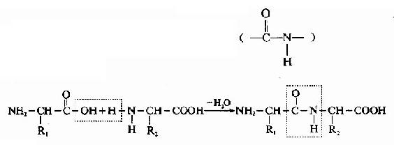
在蛋白质分子中,氨基酸之间是以肽键(peptide bond)相连的。肽键就是一个氨基酸的α-羧基与另一个氨基酸的α-氨基脱水缩合形成的键。

氨基酸之间通过肽键联结起来的化合物称为肽(peptide)。两个氨基酸形成的肽叫二肽,三个氨基酸形成的肽叫三肽……,十个氨基酸形成的肽叫十肽,一般将十肽以下称为寡肽(oligopeptide),以上者称多肽(polypeptide)或称多肽链。
组成多肽链的氨基酸在相互结合时,失去了一分子水,因此把多肽中的氨基酸单位称为氨基酸残基(amino acid residue)。
在多肽链中,肽链的一端保留着一个α-氨基,另一端保留一个α-羧基,带α-氨基的末端称氨基末端(N端);带α-羧基的末端称羧基末端(C端)。书写多肽链时可用略号,N端写于左侧,用H做标帜,C端于右侧用桹H表示。肽详细命名时为××酰××酰……××酸。

例如谷胱甘肽是由谷氨酸、半胱氨酸和甘氨酸三个氨基酸所组成的三肽,全名是γ-谷氨酰半胱氨酰甘氨酸,简称谷胱甘肽(glutachione,简写GSH)。其中N末端的谷氨酸是通过γ-羧基与半胱氨酸的氨基相连,这是一个例外。
