影响蛋白质生物合成的物质非常多,它们可以作用于DNA复制和RNA转录,对蛋白质的生物合成起间接作用,本节主要讨论抑制蛋白质生物合成翻译过程的阻断剂。
许多抗生素都是以直接抑制细菌细胞内蛋白质合成而对人体副作用最小为目的而设计的,它们可作用于蛋白质合成的各个环节,包括抑制起始因子,延长因子及核糖核蛋白体的作用等等。
1、链霉素、卡那霉素、新霉素等:
这类抗生素属于基甙类,它们主要抑制革兰氏阴性细菌蛋白质合成的三个阶段:①S起始复合物的形成,使氨基酰tRNA从复合物中脱落;②在肽链延伸阶段,使氨基酰tRNA与mRNA错配;③在终止阶段,阻碍终止因了与核蛋白体结合,使已合成的多肽链无法释放,而且还抑制70S核糖体的介离。
2、四环素和土霉素:
①作用于细菌内30S小亚基,抑制起始复合物的形成,②抑制氨西藏酰tRNA进入核糖体的A位,阻滞肽链的延伸;③影响终止因子与核糖体的结合,使已合成的多肽链不能脱落离核糖体。四环素类抗生素除对菌体70S核糖体有抑制作用外,对人体细胞的80S核糖体也有抑制作用,但对70S核糖体的敏感性更高,故对细菌蛋白质合成抑制作用更强。
3、氯霉素:
属于广谱抗生素。①氯霉素与核糖体上的A位紧密结合,因此阻碍氨基酰tRNA进入A位,②抑制转肽酶活性,使肽链延伸受到影响,菌体蛋白质不能合成,因此有较哟的抑菌作用。
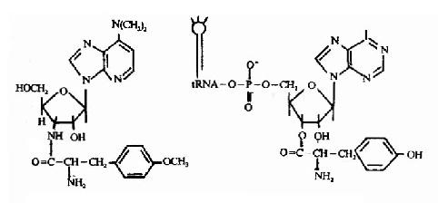
4、嘌呤霉素(Puromycin)
结构与酪氨酰-tRNA相似,从而取代一些氨基酰tRNA进入核糖体的A位,当延长中的肽转入此异常A位时,容易脱落,终止肽链合成。由于嘌呤霉素对原核和真核生物的翻译过程均有干扰干扰作用,故难于用做抗菌药物,有人试用于肿瘤治疗(图18-22)。

图18-22 嘌呤霉素(左)与tyr-tRNAtyr(右)
5、白喉霉素(diphtheria toxin)
由白喉杆菌所产生的白喉霉素是真核细胞蛋白质合成抑制剂。白喉霉素实际上是寄生于白喉杆菌体内的溶源性噬菌体β基因编码的由白喉杆菌转运分泌出来,进入组织细胞内,它对真核生物的延长因子-2(EF-2)起共价修饰作用,生成EF-2腺苷二磷酸核糖衍生物,从而使EF-2失活,它的催化效率很高,只需微量就能有效地抑制细胞整个蛋白质合成,而导致细胞死亡(图18-23)。

图18-23 白喉毒素的作用
干扰素(interferon)是病毒感染后,感染病毒的细胞合成和分泌的一种小分子蛋白质。从白细胞中得到α-干扰素,从成纤维细胞中得到β-干扰素,在免疫细胞中得到γ-干扰素。干扰素结合到未感染病毒的细胞膜上,诱导这些细胞产生寡核苷酸合成酶、核酸内切酶和蛋白激酶。在细胞未被感染时,不合成这三种酶,一旦被病毒感染,有干扰素或双链RNA存在时,这些酶被激活,并以不同的方式阻断病毒蛋白质的合成。干扰素和dsRNA激活蛋白激酶,蛋白激酶使蛋白质合成的起始因子磷酸化,使它失活,另一种方式是mRNA的降介,干扰素dsRNA激活2,5腺嘌呤寡核苷酸合成的酶的合成,2,5腺嘌呤寡核苷酸激活核酸内切酶,核酸内切酶水介mRNA(图18-24)。
由于干扰素具有很强的抗病毒作用,因此在医学上有重大的实用价值,但组织中含量很少,难于从生物组织中大量分离干扰素。现在已难应用基因工程合成干扰素以满足研究与临床应用的需要。