痛风是一组与遗传有关的嘌呤代谢率乱所致的疾病。其临床特点为反复发作的急性关节炎及慢性的表现如痛风石、关节强直或畸形、肾实质损害、尿路结石、高尿酸血症。痛风并非单一疾病,而是一种综合征,有许多疾病可以引起血尿酸增高,并沉着于关节、结缔组织和肾脏而导致这些部位的损害。
核酸的基本结构单位是核苷酸,核苷酸可分解为核苷和磷酸。核苷进一步分解为碱基(嘌呤碱和嘧啶碱)与戊糖。
25.1.1 嘌呤核苷酸的结构
(1)碱基-嘌呤碱核酸中常见的嘌呤碱有腺嘌呤和鸟嘌呤,它们由母体化合物嘌呤衍生而来。天然存在的重要嘌呤碱还有次黄嘌呤、黄嘌呤、尿酸等,次黄嘌呤与黄嘌呤是分解代谢的中间产物,尿酸是人、猿和鸟类分解代谢的最终产物。

图25-1 嘌呤碱的化学结构
(2)核苷核苷由核糖和碱基缩合而成。核糖的C1′与嘌呤碱的N9相连接。其结构如下:

图25-2 核糖(左)与核苷(右,腺苷)的化学结构
(3)核苷酸核苷中的核糖羟基被磷酸酯化生成核苷酸。常见的核苷酸有腺嘌呤核苷酸(AMP)、鸟嘌呤核苷酸(GMP)等,其结构举例如下:

图25-3 核苷酸(5′-腺苷酸)的化学结构
25.1.2 嘌呤核苷酸的合成
嘌呤的内源性合成主要在肝内进行,先由5′-磷酸核糖与ATP在磷酸核糖焦磷酸合成酶催化下合成5′-磷酸核糖焦磷酸,然后在谷氨酰胺磷酸核糖焦磷酸胺转移酶(Glutamine-5-phospho-ribosylpyrophosphateamido-transferase,GRPPAT)作用下与谷氨酰胺形成1-氨基-5′-磷酸核糖,这是最关键的一步。这一步可受核苷酸(腺苷酸,鸟苷酸和次黄嘌呤核苷酸)的抑制。然后又在甘氨酸、甲酸等作用下转变成次黄嘌呤核苷酸。谷氨酸的同类物重氮丝氨酸对此有抑制作用。次黄嘌呤核苷酸是最重要的核苷酸,并由此转变成其他嘌呤核苷酸;也可由此分解代谢产生次黄嘌呤、黄嘌呤及尿酸。另一重要步骤是依靠次黄嘌呤-鸟嘌噙磷酸核糖转移酶(HGPRT)将次黄嘌呤及鸟嘌呤转变成这二种嘌噙的核苷酸,借此控制尿酸的产量。当这种酶缺乏时,便失去控制,尿酸大量产生。同样,当合成嘌呤的底物增多,如5′-磷酸核糖焦磷酸增加及/或谷氨酰胺增多,或鸟嘌呤核苷酸,腺嘌呤核苷酸,次黄嘌呤核酸不足,则对合成1-氨基-5′-磷酸核糖的反馈减弱,嘌呤合成增多。前者见于PRPP合成酶活性增高,后者见于HGPRT缺乏。
通过同位素稀释法测定,发现参予代谢的尿酸库男性为1200mg(800~1600mg),女性为600mg。1/5在血浆,4/5在血管外体液中。特发性高尿酸血症者尿酸库增至1600~4000mg。有痛风者则尿酸库可增至2~7.5倍。尿酸库的尿酸65%即7000mg在不断更新,痛风患者的更新可达5~10g。
口服同位素发现N15甘氨酸后,发现约1/3痛风病人尿内排泄的尿酸N15比正常人多,在第3~4天达高峰。如把数日小便加起来。则所排泄的同位素总量较正常人大3倍。HGPRT缺乏者在上述试验中,尿同位素排量可较正常人增加15~20倍。上述结果表明这类病人体内嘌呤合成代谢增多,当然还有一部位病人尿同位素增加不显著,可能与肾脏排泄尿酸过少有关。
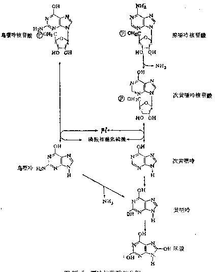
25.1.3 嘌呤核苷酸的分解
(1)腺嘌呤核苷酸→次黄嘌呤核苷酸 通过AMP氨基水解酶的作用,经脱氨基反应,腺嘌呤核苷酸转化成为次黄嘌呤核苷酸。
(2)次黄嘌呤核苷酸←→次黄嘌噙通过次黄嘌呤磷酸核糖基转酶使核糖部分被分解出来,因加入无机磷酸而转化成磷酸核糖焦磷酸(PRPP),留下游离的次黄嘌呤。此反应是可逆的。
痛风患者体内可能部分缺乏这种酶,患遗传性代谢缺陷病者-自毁容貌综合征(Lesch Nyhan二氏综合征)的病人,体内完全缺乏此酶,可出现严重的智力低下与自我残毁等症状,还产生大量尿酸并引起结石。

①谷氨酰胺磷酸核糖焦磷酸转移酶 ②次黄嘌呤-鸟嘌呤磷酸核糖转移酶③磷酸核糖焦磷酸合成酶 ④腺嘌呤磷酸核糖转移酶⑤腺苷脱胺酶⑥嘌呤核苷酸化酶⑦5′-核苷酸酶 ⑧黄嘌噙氧化酶。PRPP:磷酸核糖焦磷酸
图25-4 嘌呤核苷酸的合成
(3)次黄嘌呤→黄嘌呤黄嘌呤氧化酶使次黄嘌呤在C-2被氧化而生成黄嘌呤与过氧化氢。
黄嘌呤尿症的患者体内严重缺乏或无这种酶,患者的尿酸形成减少,趋向于形成次黄嘌呤或黄嘌呤的结石。
(4)黄嘌呤→尿酸同样在黄嘌呤氧化酶的催化下,使五元环中的C-8被氧化,而形成尿酸,人体嘌呤的分解代谢到此为止,除人、猿以外的其它动物,代谢还可继续进行生成尿囊素、尿素或氨。
(5)鸟嘌呤核苷酸←→鸟嘌呤该反应同样受次黄嘌呤磷酸核糖基转称酶的催化,与次黄嘌呤核苷酸→次黄嘌呤的反应相似。
(6)鸟嘌呤→黄嘌呤 鸟嘌呤酶使C-2上的氨基被羟基取代。
各反应步骤如下:
尿酸排泄途径有三:20~25%的尿酸从肠道排泄。肠道细菌有尿酸酶,使尿酸转变成尿囊素,最后分解为二氧化碳和所随粪便一起排出。细胞内分解约2%。其余均由肾脏排泄。肾小球滤过后约为血浆中尿酸的95%。而其中98%被近端小管重吸收。尿酸排泄主要依靠明小管再分泌。分泌部分代表总尿尿酸的80%,分泌部位在近端还是远端肾小管尚未完全清楚。重吸收和分泌可能都在近曲小管。肾小管重吸收研究表明:尿酸清除/肌酐清除=0.1,肌酐清除量远大于尿酸清除;肾小管分泌研究显示尿酸清除/肌酐清除〉1。这一现象可以解释某些药物的副作用,如阿斯匹林,保泰松、丙碘舒在小剂量时可减少肾小管的尿酸分泌而减少了尿酸,大剂量时则重吸收减少大于分泌减少,所以增加尿酸的排泄。
在普食情况下,24h尿酸平均为750mg·d-1(或尿酸氮200mg·d-1)。忌嘌呤饮食下为350mg·d-1。尿酸在尿中以尿酸或尿酸盐形式存在,尿越呈碱性,则以尿酸盐的形式存在越多。后者的溶解度较前者大17倍。所以酸性尿易形成肾结石或沉积于肾髓质。

图25-5 嘌呤核苷酸的分解
高尿酸血症是痛风的重要特征。尿酸的血中水平决定于尿酸产生和排泄之间的平衡。正常男性血尿酸高限为417μmol·L-1。98%临床痛风患者,血尿酸≥417μmol·L-1,而3~4%女性痛风患者,血尿酸介于357~417μmol·L-1,所以妇女性痛风患者血尿酸高限定为357μmol·L-1。尿酸的高低还受种族、饮食习惯、年龄、体质(肥胖)等因素的影响。高尿酸血症男性起于青春期,女性多在更年期以后。特殊酶缺陷者例外,可起于婴儿期。男性儿童经睾酮治疗,血尿酸明显增高,而儿童或去势者及生殖期妇女从未发现有痛风患者。
高尿酸血症可以是尿酸产生过多(75%),也可以是尿酸排泄过低(25%)。尿酸是嘌呤最终代谢产物。嘌呤存在于核酸中,参与DNA及蛋白质的合成。嘌呤来源于:①内源性嘌呤合成增多,主要利用谷氨酸在肝内合成;②内源性核酸代谢不断更新,最后分解为尿酸;③外源性核酸分解,所有蛋白质均是嘌呤的来源。
从病因上痛风可分为原发性和继发性两类。原发性痛风属先天性遗传性,而非继发于其它疾病或其它先天性疾病的一种次要临床表现;而继发性痛风或高尿酸血症是继发于其它疾病过程中的一种临床表现,也可以由于某些药物所致。
25.2.1 原发性痛风
(1)尿酸清除过低 约占痛风患者的90%,其依据为总尿尿酸〈600mg·d-1。尿酸清除明显低于正常人。实验证明,在痛风患者中肾脏尿酸清除/菊糖清除比值降低,要达到正常的清除比,则血中尿酸值应比正常人高119~179μmol·L-1,75~80%痛风患者显示肾脏对尿酸清除有缺陷。其机理可能如下:①肾小球滤过减少:在痛风病人的尿酸盐与蛋白质结合。结合部分的尿酸盐不能滤出肾小球;②肾小管重吸收增加。重吸收可超过滤过的尿酸量。因此尿酸的重吸收可能是高尿酸血症的一个重要因素;③肾小管分泌减少。此可能是无高尿尿酸痛风患者高尿酸血症的原因。某些有机酸如乳酸、β-羟丁酸的分泌和尿酸在同一部位,当血中有机酸增高时,即对尿酸排泄具竞争性抑制作用。有人假设这类痛风患者存在有轻度的有机酸代谢障碍。
(2)尿酸生成过多 主要依据为测定24h尿酸排量。在无嘌呤饮食及未服影响尿酸排泄的药物的情况下,尿尿酸600mg·d-1视为正常;在普食时,尿尿酸1000mg·d-1属过高。800~1000mg·d-1为正常高限。原发性痛风患者约有10%是由于尿酸产生过高。这些患者嘌呤合成加速,由于HGPRT缺乏,PRPP合成酶活性增高,或葡萄糖-6-磷酸酶缺乏。新近有人发现,ATP脱氨酶异常,可导致核苷酸分解代谢加速,增加尿酸产生,引起痛风。此外,在细胞培养下,发现腺嘌呤琥珀酸合成酶缺乏时,嘌呤代谢产物过高,嘌呤合成增加。这些观察提示在人类中可能有类似现象。HGPRT部分缺乏见于青春期或成年期,其主要临床表现是高尿酸血症和高尿酸尿,无明显精神神经损害。
典型的HGPRT部分缺乏者有高尿酸尿,其范围介于10~36mg·d-1·d-1〔正常儿童和成人的上限分别为18和10mg·d-1·d-1〕。因此尿中有尿酸结晶,多见肾结石,经常以肾结石作为初发症状而求医。由于高尿酸尿,可造成对抗利尿激素(ADH)的对抗而呈多尿。血尿酸介于417~883μmol·L-1。大多数患者有急性痛风关节炎史,多数有痛风石,少数有不典型的神经损害,智力减低。红细胞内HGPRT活性各家族间有别,约为正常的0.01~30%。
HGPRT部分缺乏引起的高尿酸血症机理有三。由于IMP或GMP的减少使嘌呤的合成增加,因为IMP和GMP是嘌呤合成重要的抑制物;其次是PRPP浓度增多、即合成基质增多;第三是减少次黄嘌呤的再利用,最后氧化成尿酸。
遗传特点为X联性隐性遗传。女性为携带者,男性发病。杂合子女性可以有轻度生化改变,即血尿酸浓度较高,但无临床症状。某些闭经期后痛风,可能与HGPRT缺乏的杂合子有关。
PRPP合成酶活性增加,使PRPP增加,因而嘌呤合成增加,所以有明显的高尿酸血症和高尿酸尿。临床表现为痛风,发病年龄20~39岁。
25.2.2 继发性痛风
(1)肾脏尿酸排泄减少:依据是24h尿尿酸〈600mg·d-1。有些继发性痛风是由于肾脏尿酸排泄减少,当肾脏滤过率降低即伴有尿尿酸排泄减少。肾小球病变所致的高尿酸血症即与此有关。多囊肾、铅中毒可使肾小管分泌降低引起尿酸排泄减少。因肾功能衰竭引起高尿酸血症的痛风较少见。肾小管对尿酸重吸收减少,同样也可有高尿酸血症。
利尿剂特别是噻嗪类利尿剂可使血尿酸增高,约占服药者的75%。在美国,高尿酸血症患者中20%是由于应用利尿剂。由于利尿剂排钠,血容量减少,因而使肾小管对尿酸钠的重吸收增加,使分泌减少。如补充血容量即可避免高尿酸血症。其它药物如阿斯匹林、吡嗪酰胺、乙胺丁醇、乙醇、烟酸等同样可致高尿酸血症,但机理尚未完全清楚。
饮食中蛋白质含量过度:高尿酸血症及痛风患者在富有者多见。第二次世界大战期间,在西欧的人群中痛风及高尿酸血症者罕见。在战后又渐趋增多。肥胖者血尿酸较相同年龄、性别的对照组高,经饮食控制后尿酸可以降低。这是因为①蛋白摄入过度,核酸分解过多;②碳水化物丰富,使5′-磷酸核糖增加,因而PRPP增加(此为嘌呤合成的底物);③血中脂肪增加,血酮浓度升高,抑制尿酸在肾脏排泄;④酒精能诱发高尿酸血症。当血中酒精浓度近0.00220mmol·L-1时,即可导致高尿酸血症。
体内有机酸增加:可竞争性抑制肾小管尿酸的分泌,引起高尿酸血症。如糖尿病酮症酸中毒、任何原因的高乳酸血症、乳酸性酸中毒(感染、休克等)。
(2)尿酸产生过多有许多继发性高尿酸血症和痛风是由于核酸的分解代谢加快。多见于骨髓和淋巴结增生的疾病。诸如多发性骨髓瘤、急性白血病、淋巴瘤、红细胞增多症、溶血性贫血等。尤其在白血病和淋巴瘤化疗和/或放疗过程中,由于大量细胞破坏,核酸代谢加速,导致高尿酸血症及代偿性嘌呤合成增加。
过度ATP的分解也可能是尿酸产生过多的重要原因。如急性心肌梗塞,一次大量吸烟、癫痫持续状态与体力不相称的剧烈运动,均可使ATP大量分解成尿酸。
HGPRT完全缺乏属于先天性遗传性疾病,前已提及,但HGPRT完全缺乏的主要临床表现是中枢神经病变。高尿酸血症和痛风仅为其次要临床表现。因此可看作继发性痛风。糖原沉积病I型(von Gierke's病)由于肝内缺乏葡萄糖-6-磷酸酶,使6-磷酸葡萄糖不能转变为葡萄糖,而参与旁路代谢,使体内5′-磷酸核糖增多。5′-磷酸核糖是合成PRPP的基质,故增加了嘌呤的合成。但其主要表现为低血糖、高血脂、高乳酸血症,而高尿酸血症及痛风仅为次要表现。痛风性关节炎:尿酸结晶在急性关节炎发作中的作用似乎已肯定。急性发作期,滑膜液白细胞内见大量双折光晶体。这些结晶能被尿酸酶消化。实验显示尿酸钠晶体可引起人和动物的皮肤、皮下组织和关节炎反应。症状非常类似痛风,并可被秋水仙碱所缓解。同时发现,急性痛风第一次发作后第二天,在滑膜上有尿酸盐及微尿酸石,这些晶体可以从滑膜上脱落,被中性白细胞或滑膜细胞吞噬,引起急性炎症。
滑膜液中尿酸过饱和是急性痛风发作的条件。高尿酸血症和痛风关节炎发作存在一定关系,但不尽然。有些高尿酸血症并无痛风发作。反之,有些正常血尿酸却有急性痛风发作,说明还有一种促使沉淀的因子。如将痛风患者的滑膜液加入过饱和尿酸液中,能明显增加结晶。而类风湿性关系炎病人的滑膜液则不然。
糖蛋白的作用:在尿酸盐沉积多的组织中,极富有糖蛋白。当糖蛋白加速分解,滑膜液中尿酸钠浓度升高,又由于关节腔血管少,循环差,对尿酸钠吸收慢,促使痛风发作。
温度的作用:尿酸钠的溶解度在37℃是357μmol·L-1,而在30℃是268μmol·L-1。人体内部和外周环境存在温差。膝关节在休息状态的温度为32℃,运动时可以上升。所以急性关节炎发作均在夜间休息时,且多在肢端(尤其是下肢末端)和耳廓。这些部位循环差,温度低。外伤也是关节炎的促发因素,大足趾的蹠趾关节尤易累及。这一部位最易受损,因为单位面积承受压力量大,结缔组织的损伤,使尿酸盐晶体释放入关节腔的滑液内。
老年人易发是因为老年人血循环差,局部体温较青年人低,局部的尿酸盐不易吸收。
pH的影响:受伤时白细胞无氧酵解增加,乳酸增多,局部pH降低。由于尿酸钠的溶解度在pH6~6.5时较7.4时为高,故pH的降低只能增加尿酸的沉淀,而发作时的白细胞内为尿酸钠,所以局部pH的改变对急性痛风发作影响较小。
白细胞的作用:尿酸钠的反应依赖于多形核白细胞。给予狗万古霉素或抗多形核白细胞的血清,造成白细胞缺乏症,尿酸盐即不能诱导炎症反应;如补充白细胞,炎症反应恢复。在白细胞吞噬晶体后还能释放对其他白细胞的趋化因子。如给予秋水仙碱RNA合成,趋化因子明显减少。说明趋化因子是一种蛋白质。这些趋化因子将吸引更多白细胞进入关节腔,导致炎症反应。
溶酶体酶的作用:在急性炎症反应和痛风的破坏性改变中,溶酶体酶释放起关键作用。白细胞的溶酶体含有阳离子蛋白,后者致使肥大细胞颗粒破裂,诱导炎症反应,还含有可使毛细血管通透性改变的蛋白酶及分解软骨中的糖蛋白的酸性蛋白酶。软骨中糖蛋白分解进一步导致尿酸盐结晶增加。当然,溶酶体可看作所有其它关节病变损伤因素的最后途径。在关节里、滑膜内层细胞、软骨细胞、游走和固定的大吞噬细胞、血管的外膜细胞、多核白细胞内均有溶酶体。
痛风在我国过去认为少见,近年来发病率有上升趋势。在西方成年人中为0.5~1%。因关节炎就诊者5%为痛风,而特发性高尿酸血症为5~20%。男性多见,好发年龄30~40岁,约50%有遗传家族史。国内浙江医院报告40例中39例(97.5%)发病于50岁以后。多见于肥胖、脑力劳动者。发病似与啫酒、盛餐、过敏体质有关。女性痛风仅占5%,多数在更年期后发病。
25.3.1 无症状期
这一阶段仅表现为高尿酸血症。高尿酸血症发生率远较痛风为高。美国统计为13.2%。高尿酸血症的上限男性为417μmol·L-1,女性为357μmol·L-1。儿童期血尿酸盐的均值是214μmol·L-1,在青春期后男性开始增高,而女性尿酸增高主要在更年期后。无症状期仅有高尿酸血症,而无关节炎、痛风石、肾结石等临床表现。大多数病例,急性痛风的发作在持续高尿酸血症后20~40年,其10~40%患者在第一次痛风发作前有过一次或数次肾绞痛发作史,也可有肾功能损害如蛋白尿、血尿,显微镜下白细胞尿。但诊断痛风应有尿酸盐沉着和组织炎症反应,而非仅有高尿酸血症及/或肾结石。大部分病人终生停留于高尿酸血症,仅小部分发生临床痛风。如未作实验室检查,往往漏诊。
25.3.2 急性期
以急性关节炎为主要表现。第一次发作在大足趾的蹠趾关节者占60%。
(1)促发因素 85%患者能找到促发因素,如饮食如度、局部外伤、体力或脑力劳动过度、受冷潮湿、过度激动、感染、外科手术及某些药物应用(如丙磺舒、利尿剂、皮质素、汞剂、酒石酸麦角胺)等。
(2)前驱症状第一次发作较为突然,以后发作时70%患者有前驱症状。如局部不适感、下肢静脉曲张、头痛、失眠、易怒、疲劳、不能胜任工作、腹胀、嗳气、便秘或腹泻、肾绞痛发作等。
(3)急性关节炎第一次发作多数起始于凌晨1~2点钟,94%在单个关节,累及下肢达95~98%。远端关节占90%,半数以上患者第一次累及大足趾的蹠趾关节内侧面,极度过敏,盖上层被褥即可有疼痛感,往往夜间突然发作而痛醒。局部有红、肿、痛、热、静脉曲张,触之痛剧,向下肢放射,至白天可主诉好转,但局部体征反而加剧。第二天凌晨疼痛重新加剧,局部皮肤由红色转为紫蓝色,有凹陷性水肿。一般持续3~20天左右,症状渐渐减轻,局部体征好转,肿退,皮肤出现皱纹、脱屑。全身情况和局部体征发展平行。一般体温正常或低热,但也可高达39℃以上,伴有寒颤、全身不适、头痛易怒、心动过速、腹痛、肝脏肿大、明显多尿,尤其在急性期发作后。尿尿酸在发作前数天降低,发作末期明显增高,发作停止后进一步升高,然后逐渐恢复到正常的水平。发作期血沉增高,一般为30~50mm·h-1,偶见50~100mm·h-1白细胞增高伴中性白细胞增多。
(4)病程 如及时给予秋水仙碱治疗。1~3天完全缓解,若任其自然发展,则病程延长,但大部分能完全恢复。有1/10病人可累及关节,留下不适感。
25.3.3 间歇期
即两次发作之间的一段静止期。大多数病人一生中反复发作多次,某些患者发作一次后从未再发。多数患者发作间隔时间为六个月至一年。少数患者间隔时间可长达5~10年。据Gutman's报道,在第一年内复发的为62%。第1~2年复发者16%;第2~5年复发约11%,第5~10年复发为4%。7%病人随访10年或10年以上未见复发。在未用抗高尿酸药物治疗的病人,发作次数渐趋频繁。病程越是晚期,常累及多关节、病情重,持续时间长、缓解慢。在间歇期仅根据病史和高尿酸血症疹断比较困难,但抽取蹠趾关节液体,如能找到尿酸盐结晶,有助于诊断。
25.3.4 慢性期
慢性期的主要表现为痛风石、慢性关节炎、尿路结石及痛风性肾炎。
(1)痛风石由于尿酸沉积于结缔组织,逐渐形成痛风石。过程隐袭,小的仅能触及,大的肉眼可见。痛风石出现的时间在发病后3~42年。平均出现时间为10年。少于5年有痛风石者少见。10年后约1/2患者有痛风石。以后逐渐增多,20年后只有28%无痛风石。下肢功能障碍达24%。尿酸沉积于关节内和关节附近,与血尿酸浓度密切有关。出现的部位按频率依次为耳轮、手、足、肘、膝、眼睑、鼻唇沟。比较少见的部位尚有脊椎关节、心肌、二尖瓣、心脏传导束及咽部等。初期形成的结石较软,表皮红色,内含乳白色液体。其中有尿酸钠结晶。数周内,急性症状消失,形成肾硬痛风石,并逐渐增大,使关节受到破坏,关节强直,畸形,关节活动受限。痛风石可以溃烂,形成瘘管,化脓较罕见。
(2)慢性关节病变 经过10~20年演变,累及上下肢诸多关节。由于痛风石的不断增大增多,软骨及关节周围结缔组织尿酸盐沉着,纤维增殖,骨质破坏,导致关节强直、畸形,可出现假性类风湿性关节炎样关节,使功能完全丧失。
(3)肾脏病痛风的肾脏病变可分为尿酸盐性肾脏病和尿酸性肾脏病。它们的发生与长期高尿酸血症有关。
①尿酸盐性肾脏病变:慢性肾脏病变是痛风最常见的表现之一,占痛风患者的20~40%。临床表现有两种类型:一是以肾小球病变为主,即所谓痛风性肾炎。这些患者的间质损害相对较轻,平均发病年龄55岁。在急性痛风发作后15~25年多见,也可见于痛风发作前。早期的表现为间歇性微量蛋白尿。浓缩功能减退是肾功能损害的早期表现。1/3患者伴高血压,最后导致氮质血症,肾功能衰竭。第一次就诊有时难以决定痛风与肾炎之间的因果关系。但以前的痛风性关节炎病史能提示痛风属原发性。慢性肾炎罕见能引起痛风,但可加重原已存在的痛风。其机理与传统的观点有别。最近认为一是由于尿酸盐的沉积损害了亨利攀上皮及其周围的间质组织,同时伴有肾小球毛细血管玻璃样变性及较大血管中层内层的增生。从间质得到的晶体,经X光衍射分析,证实为尿酸盐(而非尿酸)结晶。痛风者高尿酸对肾脏的损害已得到公认,但并非肾脏损害的唯一因素(甚至并非主要因素)。痛风病人中常见的共同存在的其它疾病(如高血压、慢性铅中毒、缺血性心脏病,原已存在的隐性肾脏病变)可能在痛风性肾炎中比尿酸更起重要的作用,尤其是老年痛风患者;二是由于间质性肾脏病变。这一类肾小球损害相对较轻,可有反复尿感,白细胞尿,病程相对长,最后导致肾功能衰竭,此可能与尿酸盐阻塞肾小管有关。
②尿酸性肾脏病:也可分为争性尿酸性肾肘病和尿路结石。前者由于严重高尿酸血症。一次大量的尿酸沉积于集合管和输尿管,引起尿闭,急性肾功能衰竭。这类病可见于痛风患者中嘌呤代谢明显增加者,剧烈运动和癫痫大发作后。但更多见于白血病和淋巴瘤患者。病人的核酸代谢加速,尤其同时进行化疗(细胞毒性药物)和放射治疗,加速了细胞破坏,更增加肾的尿酸负荷,使尿酸排泄增加3~5倍。在化疗过程中,病人因厌食、恶心、呕吐以致脱水,因而造成高浓缩低容量尿。同时因为有酸中毒,使尿酸沉着于集合管,而阻塞了管腔。该病的发生与尿尿酸(而非尿酸盐)排量相关。最后导致近端肾单位扩张,小管上皮变性。动物实验证实了上述观点。临床表现和诊断:高尿酸血症患者,平均血尿酸盐为1190μmol·L-1(714~2140μmol·L-1)、最高记录〉4760μmol·L-1。有少尿或无尿及氮质血症。如有尿,则在尿中可见结石或大量尿酸结晶,尿中尿酸/肌酸大于1。而其它原因肾衰则小于1。后者结石在痛风病人中比较常见。在一般人群中尿酸盐结石的发生率为0.01%,而在痛风病人中尿酸盐结石为10~25%。较健康人群大1000倍。在痛风病人,每年尿路结石的发生率为1%。无症状高尿酸血症则为0.2%。尿路结石的发生率与血尿酸浓度及尿尿酸排泄相关。当血尿酸〉774μmol·L-1,则尿路结石的发生率达50%。有40%病人尿路结石出现先于痛风。少数病人结石的发生先于痛风10年。结石的化学分析证实70~80%为纯尿酸结石,其余为尿酸盐及草酸盐混合结石、纯草酸钙或磷酸钙结石。出现结石的平均年龄44岁,比初次痛风发作年龄迟2年。在继发性痛风尿路结石的发生率较高,如在骨髓增殖性疾病中统计可达42%。相反,铅中毒痛风患者尿路结石罕见。机理是有促使尿酸结晶形成的因素,尿尿酸量增多,pH低,尿液浓缩,尿的质和量改变,均可影响尿酸的溶解度。尿酸是弱酸,(pK5.75),在尿pH6.75时,91%呈尿酸盐形式存在。尿pH4.75时91%以尿酸形式存在。尿酸的溶解度较尿酸盐低(pH6.82时,尿酸盐溶解度比尿酸大10倍)当pH降低,大量以尿酸形式存在时,就出现尿酸的过饱和。高有机质核心存在即可形成结石。当尿pH〈5.5~5.7,尿中尿酸总是呈过饱和状态,特别是在应用促尿酸排泄药物时,可以使尿中尿酸增加,而导致尿路结石形成。约16%结石是在应用促尿酸排泄药物以后发生。结石的产生是在用药的早期,因此,应投予碱化尿液的药物(如碳酸氢钠),增加入水量等预防措施。
25.3.5 继发性痛风的临床表现
以高尿酸血症为主,痛风的临床症状不典型,往往被原发病所掩盖,大多继发于肾脏病、高血压和骨髓增殖性疾病。尤其是白血病和淋巴瘤。由于病程短,痛风的临床未及表现。由于核酸代谢旺盛,或排泄受阻,所以血尿酸往往较原发性痛风为高。
25.3.6 痛风的并发症
(1)肥胖常见 体重平均超过标准体重的10~30%。
(2)糖尿病 高尿酸血症中2~50%有糖尿病,痛风病人中糖耐量减退者占7~74%,有临床糖尿病表现者一般为Ⅱ型糖尿病。
(3)高血脂 痛风病人中高甘油三酯达75~84%。在高甘油三酯病人中,高尿酸达82%。
(4)高血压 在未经治疗的高血压病人中,22~38%有高尿酸血症,明显高于普通人群中的高尿酸发生率。在高血压病人中,痛风的发生率为2~12%,血尿酸盐浓度与肾血流量及尿酸盐清除成反比。因此,高血压伴高血压尿酸可能与高血压病人肾血流量减少有关。
(5)动脉硬化动脉硬化病人中,高尿酸血症的发生率明显增高,高尿酸血症看作为冠心病的危险因素。
从上述统计数字看,痛风与肥胖、糖尿病、高血脂、高血压、动脉硬化似乎相关,但根据性别、年龄、体重矫正后,二者之间未发现明显相关。似乎在高尿酸血症病人中,高血压、糖尿病、高血脂和肥胖等因素共同作用,导致高尿酸血症和动脉硬化。
25.3.7 痛风的诊断
典型的痛风容易诊断。有痛风素质,家庭史,常见于下肢远端的蹠趾齹内侧面,半夜发作,剧痛,白天好转,秋水仙碱有特效。尿路结石史,高尿酸血症和高尿酸酸尿症。慢性痛风的诊断依据是病史和痛风石,但很少有痛风患者均有上述症状。可采用下述诊断标准:
(1)血尿酸男性>417μmol·L-1;女性>357μmol·L-1。
(2)有痛风石。
(3)关节内找到尿酸钠结晶或组织内有尿酸钠沉积。
(4)有两次以上发作。
(5)有典型的发作突然起病,夜剧昼缓,局限于下肢远端。
(6)秋水侧碱治疗48h内缓解。上述标准中有两项符合即可诊断为痛风。
治疗的目的是尽快终止急性症状,预防急性关节炎的复发;减少并发症的产生或逆转并发症,阻止或逆转伴发病。因此,治疗上,一方面控制急性痛风性关节炎,另一方面促使尿酸排泄增加,控制高尿酸血症。
25.4.1 无症状期高尿酸血症的治疗
目前意见不一。一般认为不必药物治疗。因为单纯高尿酸血症发生痛风临床症状的危险性不大,但应避免饮酒。切忌肥胖,应进低热量、低嘌呤饮食,多饮水、如血尿酸明显增高,还应考虑药物治疗。
25.4.2 急性痛风关节炎的治疗
在急性期应卧订休息,多饮水,忌酒,宜采用低势量低脂饮食。一旦诊断明确,尽早给予药物治疗。治疗越早,疗效越好。控制急性症状的药物有秋水仙碱,消炎痛,保泰松。三种药物可轮换应用,如秋水仙碱治疗后48h无效,应疑及其它疾病。若诊断肯定,也应更换其它药物,秋水仙碱对迁延型痛风疗效欠佳,而保泰松则有较好的疗效,如仍无好转,可采用可的松关节腔内注射。中药治疗:急性期宜宣表祛风散寒。羌活4.5g,防风4.5g,桂枝4.5g,赤芍9g,桑枝12g,秦艽9g,晚蚕砂9g,防已4.5g,络石藤12g,威灵仙9g;寒重加附子4.5g,川草乌4.5g;湿重加厚朴4.5g,苍术9g,加石膏30g,知母9g。
25.4.3 慢性期及间歇期的治疗
主要目的是阻止急性关节炎的发作,阻止或减少尿酸在组织中浸润。
控制饮食减少体重,使恢复到理想体重,但应逐渐减少,避免突然降低。因过度饥饿可使血酮升高,抑制尿酸从肾小管排泄。低脂肪、低嘌呤饮食,忌酒。一次过量饮酒可使血尿酸增高,经常饮酒,兴奋嘌呤合成,因而导致高尿酸血症和尿酸排泄增多。有时一次过量饮酒,特别是同时伴高嘌呤、高蛋白、高脂肪的盛餐,可引起急性痛风的发作。自有促尿酸排泄药物和抑制嘌呤合成药应用以来,绝对忌嘌呤饮食并非必要,除非肾功能减退者或用药物治疗不能控制高尿酸血症时。但过度含嘌呤饮食仍需避免。限制嘌呤饮食可以减少尿尿酸200~400mg·d-1,血尿酸降低59.5μmol·L-1,某些患者甚至更多。在正常人和痛风患者,内源性嘌呤合成在高蛋白饮食者较中等蛋白饮食者为高,这可能是增加了尿酸的前体。因此,一般蛋白摄入量限制在1g·kg-1·d-1。
静止期的秋水仙碱持续应用能预防急性痛风性关节炎的复发,剂量为0.5~1mg·d-1。睡前口服,有效率为75%。近来有人应用消炎痛预防复发获得成功。剂量25mg,每日2次口服。
药物治疗可分两类,阻止内源性嘌呤合成的药物(如别嘌呤醇)及促尿酸排泄的药物,使血尿酸降低到381μmol·L-1以下,使沉积的尿酸盐溶解,尿尿酸排泄少于700mg·d-1。单用别嘌呤醇和丙磺舒均可使血尿酸降低,但一般应首选促尿酸排泄的药物。因为大部分原发痛风患者尿尿酸排泄过低。而且这一药物相对较为安全,不影响嘌呤和嘧啶代谢。应用指征:小于60岁,肾功能正常(内生肌酐清除〉80ml·min-1),尿尿酸排泄少于700mg·d-1(在普食情况下),无肾结石。
应用促尿酸排泄药,尿中尿酸增多,并使尿液pH降低,因而易产生肾结石,或肾小管中尿酸结晶沉着。又由于血尿酸降低,尿酸库的尿酸被动员,血尿酸经过关节腔可促使急性痛风发作。为防止上述意外,我们可采用碱性药物(碳酸氢钠或枸橼酸钠),碱化尿液。增加入水量,保持尿量2L·d-1以上。同时服用秋水仙碱1mg·d-1,或消炎痛,防止急性发作,待血尿酸正常后,可以停药。
25.4.4 肾结石的处理
痛风已有肾结石,应给病人大量饮水2~3L·d-1。特别是尿尿酸排泄过高者,这些患者约占总数的20~25%。合用碱性药物,矫正尿液pH在6.0~6.5,可使尿酸转变成易溶性的尿酸盐,降低血尿酸。
25.4.5 继发性痛风的治疗
治疗原则同前。由于骨髓增生性疾病引起,有大量尿酸产生,如用促尿酸排泄药物,可加重肾脏负担。若固肾功能衰竭所致者减轻负担更为必要,所以一般采用别嘌呤醇为主,阻止尿酸的产生。
食物中的核酸多与蛋白质结合成为核蛋白,以核蛋白形式被摄取。核蛋白在胃中受胃蛋白酶作用,分解为核酸与蛋白质,胰液中的核糖核酸酶和脱氧核糖核酸酶,还有肠中的多核苷酸酶或磷酸酯酶,使核酸分解成单核苷酸,单核苷酸再经各种核苷酸酶和磷酸酶的作用水解成核苷,这些核苷可直接被吸收,也可经肠磷酸化酶水解成游离的嘌呤再被吸收。
采用限嘌呤膳食,一般仅能降低血清尿酸0.5~1.5mg·100ml-1。加上目前采用别嘌呤醇来治疗痛风,该药的作用在于抑制次黄嘌呤转变为黄嘌呤,从而减少自生尿酸的合成,因此认为没有必要象过去一样地严格限制膳食中的蛋白质与嘌呤。
痛风膳食治疗的目的在于减少外源性的核蛋白,以降低血清尿酸水平并增加尿酸的排出。
25.5.1 总热量
保持或达到理想体重,最好能低于理想体重10~15%,根据情况给予6440~8280kJ·d-1。对肥胖患者的减体重措施,应循序而进,须经历数月的过程,切忌减得太猛,因突然减少热量的摄入,会导致酮血症,酮体与尿酸相竞排出,使尿酸的排出减少,能促进痛风急性发作。
25.5.2 蛋白质
蛋白质的摄入要适量,每公斤体重给予0.8~1.0g,或每日50~70g。选用牛奶、乾酪、鸡蛋、谷类和蔬菜作为蛋白质的主要来源。
25.5.3 脂肪
因脂肪可减少尿酸的正常排泄,故主张用中量或较低的脂肪量,一般控制在每日50g左右。
25.5.4 碳水化物
由于碳水化合物可防止组织分解代谢并产生酮体,还有增加尿酸排除的倾向,故应是热量的主要来源。果糖能增加尿酸的生成与排出,故果糖在碳水化物中所占比例不要太大。
25.5.5 酒
尽管以前认为痛风患者少量或适度饮酒不一定引起急性发作,但酒能造成体内乳酸堆积,乳酸对尿酸排泄有竞争性抑制作用,因此不饮酒为好。
25.5.6 咖啡、茶和可可
过去建议患者禁用咖啡、茶和可可,因为它们含有可可碱、茶叶碱和咖啡碱。其结构如下:

图25-6 茶叶碱、可可碱和咖啡碱的结构
这些建议是根据以往的动物实验结果引伸到人,以为人类也可将这些甲基黄嘌呤转变为尿酸。事实上,狗、兔等动物排出尿囊素而非尿酸,用比较敏感的酶法进行分析,并以鸟类作研究,其结论是可可碱、茶叶碱和咖啡碱在人体代谢成甲基尿酸盐,而非尿酸盐,并不沉积在痛风石里。因此禁用茶、咖啡、可可尚缺乏充足的科学根据,所以亦有人主张应适量选用。
25.5.7 水
应大量进水、果汁和矿泉水等饮料,至少每日在2000ml以上,以保持尿液稀释。
25.5.8 维生素
维生素应充足,特别是维生素B和C。尿酸在碱性环境中容易溶解,蔬菜和水果既是成碱食物,又能供给丰富的维生素与无机盐。
25.5.9 嘌呤
过去主张用无嘌呤或严格限制嘌呤的食物,但也限制了蛋白质的进量,长期服用对营养摄入带来不良影响。目前主张仅禁用含嘌呤高的食物,并根据不同的病情,决定膳食中嘌呤的含量。
急性期的膳食 在急性期应严格限制嘌呤在150mg以下,以免增加外源性嘌呤的摄入,可选用第三类含嘌呤低的食物,蛋白质按0.8~1.0g·kg-1供给,以牛奶、鸡蛋(特别是蛋白)、谷类为蛋白质的主要来源,脂肪不超过每日50g,以碳水化物补足热量的需要。禁用含含嘌呤高的肝、腰、胰、鲭鱼、鳀鱼、沙丁鱼、小虾、肉汁、肉汤、扁豆、乾豆类(因含腺嘌呤高)。液体进量不少于每日3000ml,此外,可用碳酸氢钠、枸橼酸钠等药物使尿液碱性化。
缓解期在缓解期,膳食配合药物达到尿酸负平衡,控制尿酸盐沉积和血清尿酸水平。膳食要求是给以正常平衡膳食,以维持理想体重。由于高蛋白质摄入能加速痛风患者生物合成尿酸,故蛋白质每日仍以不超过80g为宜。禁用含嘌呤高的第一类食物;有限量地选用含嘌呤中等量的第二类食物,其中的肉、鱼、禽类每日(或每周五次,视病情而定)用60~90g,还可用煮过汤的熟肉代替生肉,其中的蔬菜只能选用1小份;另外可自由选用含嘌呤低的第三类食物。
第一类 含嘌呤高的食物(第100g食物含嘌呤100~1000mg)
| 瘦肉类: | 鱼类: |
| 肝 | 鲭鱼 |
| 肾 | 鳀鱼 |
| 胰(胰脏) | 鱼卵小虾 |
| 心 | 贻贝(蠔、淡菜) |
| 脑 | 禽类: |
| 肉馅 | 鹅 |
| 肉汁、肉精 | 鹧鸪(斑鸡、石鸡) |
| 肉汤(各种肉、禽制的浓汤或清汤) | 其它: |
| 酵母(酿造或烤面包用) |
以上食物在急性与缓解期均应禁用。
第二类 含嘌呤中等的食物(每100g食物含嘌呤90~100mg)
| 除第一类食物之外的: | |
| 肉类 | 干豆类 |
| 禽类 | 干豌豆 |
| 鱼类 | 菠菜 |
| 贝壳类 | 扁豆 |
| 芦笋(龙须菜) | |
| 蘑菇 | |
在缓解期,根据病情可每日(或一周五天)选用列入第二类的60~90g肉、鱼或禽;或一小份列于第二类的蔬菜。
第三类 含嘌呤很少的食物
| 谷类: | 蔬菜类: |
| 各种精白或强化的谷类及其制品,如大米、细加工的玉米面等 | 除列于第二类以外的蔬菜 |
| 精白或强化面粉制品,如面条、通心粉、蛋糕、饼干等 | 水果类: |
| 乳类及其制品: | 各种水果 |
| 牛奶、乾酪(企司)、适量奶油、冰淇淋 | 硬果类: |
| 蛋类及其制品: | 花生、杏仁、核桃等 |
| 鸡蛋 | 油脂类(适量): |
| 植物油、动物脂肪、黄油、人造黄油 | |
| 其他: | |
| 盐、糖、醋等调味品,茶、咖啡、巧克力、橄榄、泡菜、香料 |
第三类食物可每日食用。
引自Krause and Mahan,《Food,Nutrition and Diet Therapy》7th Editionp.679,1984
痛风急性期膳食举例
| 餐次 | 食物内容 | 用量g | 蛋白质g | 脂肪g | 碳水化物g | 热能kJ |
| 早餐 | 牛奶 | 250 | 8 | 10 | 13 | |
| 白米粥 | 25 | 2 | - | 10 | ||
| 白面包 | 25 | 3 | - | 19 | ||
| 果酱 | 15 | - | - | 15 | ||
| 午餐 | 蔬菜汤(第三类) | 100 | 1 | - | 3 | |
| 西红柿炒蛋 | ||||||
| 西红柿 | 200 | 2 | - | 6 | ||
| 鸡蛋1个 | 35 | 5 | 4 | - | ||
| 炒油菜 | 200 | 2 | - | 6 | ||
| 米饭 | 100 | 7 | 1 | 77 | ||
| 西瓜(市品) | 250 | - | - | 6 | ||
| 晚餐 | 芙蓉菜花 | |||||
| 蛋清2个 | 56 | 6 | - | 1 | ||
| 菜花 | 150 | 3 | 1 | 5 | ||
| 拌胡萝卜丝 | 200 | 2 | - | 16 | ||
| 富强粉花卷 | 75 | 7 | 1 | 59 | ||
| 细加工的玉米面粥 | 25 | 2 | 1 | 18 | ||
| 全日用油 | 25 | - | 25 | - | ||
| 饮料 | 2000 | |||||
| 合计 | 50 | 43 | 254 | 6733(6.7MJ) |
痛风缓解期膳食举例
| 餐次 | 食物内容 | 用量g | 蛋白质g | 脂肪g | 碳水化物g | 热能kJ |
| 早餐 | 牛奶 | 250 | 8 | 10 | 13 | |
| 甜发糕(富强粉) | 50 | 5 | 1 | 38 | ||
| 糖 | 10 | - | - | 10 | ||
| 午餐 | 炒牛肉丝芹菜 | |||||
| 牛肉 | 25 | 5 | 3 | - | ||
| 芹菜 | 100 | 2 | - | 2 | ||
| 熬冬瓜 | 200 | 1 | - | 5 | ||
| 西红柿豆腐汤 | ||||||
| 西红柿 | 100 | 1 | - | 3 | ||
| 南豆腐 | 40 | 2 | 1 | 1 | ||
| 米饭 | 100 | 7 | 1 | 77 | ||
| 3:00加餐 | 西瓜(市品) | 250 | - | - | 6 | |
| 晚餐 | 鸡丝蛋皮丝拌黄瓜 | |||||
| 熟鸡丝* | 25 | 11 | 1 | - | ||
| 鸡蛋1个 | 35 | 5 | 4 | - | ||
| 黄瓜 | 1 | - | 3 | |||
| 小白菜 | 150 | 2 | - | 4 | ||
| 富强粉馒头 | 7 | 1 | 56 | |||
| 白米粥 | 25 | 2 | - | 10 | ||
| 全日用油 | 30 | - | 30 | - | ||
| 饮料 | 1500 | |||||
| 糖 | 20 | - | - | 20 | ||
| 合计 | 59 | 52 | 248 | 7123(7.1MJ) |
*用煮过汤的鸡肉
1.[美]David W.Martin,滕爱莲译:嘌呤和嘧啶核苷酸的代谢,《生理化学评论》H.A.哈珀等着,第一版,第500页,科学出版社,北京,1985年。
2.沈同等主编:核酸的降解与核苷酸代谢,《生物化学》,第一版,第590页,高等教育出版社,上海,1980年。
3.[西德]P.卡尔森等着:张增明译:《病理生化学》核苷酸代谢,第一版,第115页,科学出版社,北京,1984年。
4.[英]H.G.J.沃恩等着,韩冠群译:嘌呤的合成、嘌呤的降解,《医学代谢途径》,第一版,第86页,人民卫生出版社,北京,1985年。
5.[美]G.W.索恩主编,陈力田等译校:痛风及其他尿酸代谢疾患,《内科学原理》,第一卷,第一版,第790页,人民卫生出版社,北京,1982年。
6.上海第一医学院《实用内科学》编写组:新陈代谢疾病,《实用内科学》,第6版;第561页,人民卫生出版社,北京,1983年。
7.贺扬淑等:500例老年期和老年前期血清尿酸调查分析,广州军区老年医学资料汇编,第38页,1983年。
8.黄翠瑶等:老年原发性痛风37例临床分析中国人民解放军总医院,参加全军第一届老年医学专业学术会议资料,第74页,1983年。
9.孟昭亨等:北京医学 74;1986
10 .程心培等:中华内科杂志 1:41,1981
11 .中国生理科学会营养学会编著:痛风病的营养治疗,《营养学基础与临床实践》,第1版,第24 7页,北京科学技术出版社,北京,1986
12 .The American Dietetic Association:PartC,Modifications in protein Content,Gout and the Purine Restricted Diet,Handbookof CLinical Dietetics,lst Editin,p45 ,Yale University Press,New Heaven,andLondon,19 81
13 .Marie V.Krause and L.KathaleenMahan,Food,Nutrition and Diet Therapy,7th Edition,P67 7,W.B.Saunders Company,Philadelphia andLondon,1984.