离心技术(centrifugaltechnique)是根据颗粒在作匀速圆周运动时受到一个外向的离心力的行为而发展起来的一种分离技术。这项技术应用很广,诸如分离出化学反应后的沉淀物,天然的生物大分子、无机物、有机物,在生物化学以及其它的生物学领域常用来收集细胞、细胞器及生物大分子物质。
(一)基本原理
⒈离心力(centrifugal force,Fc)离心作用是根据在一定角度速度下作圆周运动的任何物体都受到一个向外的离心力进行的。离心力(Fc)的大小等于离心加速度ω2X与颗粒质量m的乘积,即:

其中ω是旋转角速度,以弧度/秒为单位;X是颗粒离开旋转中心的距离,以cm为单位;m是质量,以克为单位。
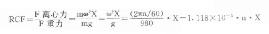
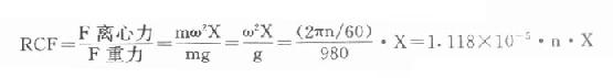
⒉相对离心力(relative centrifugal force,RCF)由于各种离心机转子的半径或者离心管至旋转轴中心的距离不同,离心力而受变化,因此在文献中常用“相对离心力”或“数字×g”表示离心力,只要RCF值不变,一个样品可以在不同的离心机上获得相同的结果。
RCF就是实际离心场转化为重力加速度的倍数。

式中X为离心转子的半径距离,以cm为单位;g为地球重力加速度(980cm/sec2);n为转子每分钟的转数(rpm)。
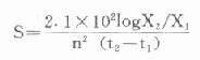
在上式的基础上,Dole和Cotzias制作了与转子速度和半径相对应的离心力的转换列线图,见图16-4,在用图16-4将离心机转数换成相对离心力时,先在离心机半径标尺上取已知的离心机半径和在转数标尺上取已知的离心机转数,然后将这两点间划一条直线,在图中间RCF标尺上的交叉点,即为相应的离心力数值。例已知离心机转数为2500rpm,离心机的半径为7.7cm,将两点连接起来交于RCF标尺,此交点500×g即是RCF值。
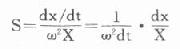
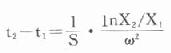
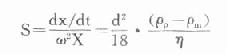
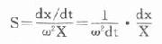
⒊沉降系数(sedimentation coefficient,s)根据1924年Svedberg对沉降系数下的定义:颗粒在单位离心力场中粒子移动的速度。


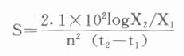
若ω用2πn/60表示,则

式中X1为离心前粒子离旋转轴的距离;X2为离心后粒子离旋转轴的距离。S实际上时常在10-13秒左右,故把沉降系数10-13秒称为一个Svedberg单位,简写S,量纲为秒。
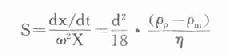
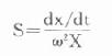
⒋沉降速度(sedimentation velocity)沉降速度是指在强大离心力作用下,单位时间内物质运动的距离。

式中r为球形粒子半径;d为球形粒子直径;η为流体介质的粘度;ρP为粒子的密度;ρm为介质的密度。
从上式可知,粒子的沉降速度与粒子直径的平方、粒子的密度和介质密度之差成正比;离心力场增大,粒子的沉降速度也增加,将此式代入上项沉降系数公式中,则S的表示式也可表示为:

从该式中可看出,①当ρP>ρm,则S>0,粒子顺着离心方向沉降。②当ρP=ρm,则S=0,粒子到达某一位置后达到平衡。③当ρP<ρm,则S<0,粒子逆着离心方向上浮。
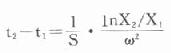
⒌沉降时间(sedimentation time,Ts)在实际工作中,常常遇到要求在已有的离心机上把某一种溶质从溶液中全部沉降分离出来的问题,这就必须首先知道用多大转速与多长时间可达到目的。如果转速已知,则需解决沉降时间来确定分离某粒子所需的时间。
根据沉降系数(S)式可得:


图16-4 离心力的转换列线图
将左侧r点与右侧n点连成一条直线,与中间RCF相交的
点即为相对离心力(×g)RCF=1.118×102×r×n2。
积分得

式中X2为离心转轴中心至离心管底内壁的距离;X1为离心转轴至样品溶液弯月面之间的距离,那么样品粒子完全沉降到底管内壁的时间(t2-t1)用Ts表示则式可改为:

式中Ts以小时为单位,S以Svedberg为单位。
⒍K系数(k factor) K系数是用来描述在一个转子中,将粒子沉降下来的效率。也就是溶液恢复成澄清程度的一个指数,所以也叫“cleaning factor”。原则上,K系数愈小的,愈容易,也愈快将粒子沉降。

其中Rmax为转子最大半径;Rmin为转子最小半径。由其公式可知,K系数与离心转速及粒子沉降的路径有关。所以K系数是一个变数。当转速废,或者离心管的溶液量不同,即粒子沉降的路径改变时,K系数就改变了。通常,离心机的转子说明书中提供的K系数,都是根据最大路径及在最大转速下所计算出来的数值。如果已知粒子的沉降系数为80S的Polysome,采用的转子的K系数是323,那么预计沉降到管底所需的离心时间是T=k/S=4h,利用此公式预估的离心时间,对水平式转子最适合;对固定角式转子而言,实际时间将比预估的时间来得快些。
(二)分类
根据离心原理,按照实际工作的需要,目前已设计出许多离心方法,综合起来大致可分三类。
⒈平衡离心法根据粒子大小、形状不同进行分离,包括差速离心法(differential velocitycentrifugation)和速率区带离心法(rate zonal centrifugation)。
⒉等密度离心法(jsopycnic centrifugation)又称等比重离心法,依粒子密度差进行分离,等密度离心法和上述速率区带离心法合称为密度梯度离心法。
⒊经典式沉降平衡离心法用于对生物大分子分子量的测定、纯度估计、构象变化等。
(一)差速离心法
它利用不同的粒子在离心力场中沉降的差别,在同一离心条件下,沉降速度不同,通过不断增加相对离心力,使一个非均匀混合液内的大小、形状不同的粒子分部沉淀。操作过程中一般是在离心后用倾倒的办法把上清液与沉淀分开,然后将上清液加高转速离心,分离出第二部分沉淀,如此往复加高转速,逐级分离出所需要的物质。
差速离心的分辨率不高,沉淀系数在同一个数量级内的各种粒子不容易分开,常用于其他分离手段之前的粗制品提取。
例如用差速离心法分离已破碎的细胞各组份

(二)速率区带离心法
速率区带离心法是在离心前于离心管内先装入密度梯度介质(如蔗糖、甘油、KBr、CsCl等),待分离的样品铺在梯度液的顶部、离心管底部或梯度层中间,同梯度液一起离心。离心后在近旋转轴处(X1)的介质密度最小,离旋转轴最远处(X2)介质的密度最大,但最大介质密度必须小于样品中粒子的最小密度,即ρP>ρm。这种方法是根据分离的粒子在梯度液中沉降速度的不同,使具有不同沉降速度的粒子处于不同的密度梯度层内分成一系列区带,达到彼此分离的目的。梯度液在离心过程中以及离心完毕后,取样时起着支持介质和稳定剂的作用,避免因机械振动而引起已分层的粒子再混合。
由于ρP>ρm可知S>0,因此该离心法的离心时间要严格控制,既有足够的时间使各种粒子在介质梯度中形成区带,又要控制在任一粒子达到沉淀前。如果离心时间过长,所有的样品可全部到达离心管底部;离心时间不足,样品还没有分离。由于此法是一种不完全的沉降,沉降受物质本身大小的影响较大,一般是应用在物质大小相异而密度相同的情况。常用的梯度液有Ficoll、Percoll及蔗糖。
(三)等密度离心法
等密度离心法是在离心前预先配制介质的密度梯度,此种密度梯度液包含了被分离样品中所有粒子的密度,待分离的样品铺在梯度液顶上或和梯度液先混合,离心开始后,当梯度液由于离心力的作用逐渐形成底浓而管顶稀的密度梯度,与此同时原来分布均匀的粒子也发生重新分布。当管底介质的密度大于粒子的密度,即ρm>ρP时粒子上浮;在弯顶处ρP>ρm时,则粒子沉降,最后粒子进入到一个它本身的密度位置即ρP=ρm,此时dx/dt为零粒子不再移动,粒子形成纯组份的区带,与样品粒子的密度有关,而与粒子的大小和其他参数无关,因此只要转速、温度不变,则延长离心时间也不能改变这些粒子的成带位置。
此法一般应用于物质的大小相近,而密度差异较大时。常用的梯度液是CsCl。
(四)梯度溶液的制备
⒈梯度材料的选择原则作为一种理想的梯度材料应具备以下几点:①与被分离的生物材料不发生反应即完全惰性,且易与所分离的生物粒子分开。②可达到要求的密度范围,且在所要求的密度范围内,粘度低,渗透压低,离子强度和pH变化较小。③不会对离心设备发生腐蚀作用。④容易纯化,价格便宜或容易回收。⑤浓度便于测定,如具有折光率。⑥对于超速离心分析工作来说,它的物理性质、热力学性质应该是已知的。这些条件是理想条件,完全符合每种性能的梯度材料几乎是没有的。下面介绍几种基本上符合上述原则的梯度材料:①糖类:蔗糖、甘油、聚蔗糖(Ficoll)、右旋糖酐、糖原。②无机盐类:CsCl(氯化铯)、RbCl(氯化铷)、NaCl、KBr等。③有机碘化物:三碘苯甲酰葡萄糖胺(matrizamide)等。④硅溶胶:如Percoll。⑤蛋白质:如牛血清白蛋白。⑥重水。⑦非水溶性有机物:如氟代碳等。
⒉梯度材料的应用范围
⑴蔗糖:水溶性大,性质稳定,渗透压较高,其最高密度可达1.33g/ml,且由于价格低容易制备,是现在实验室里常用于细胞器、病毒、RNA分离的梯度材料,但由于有较大的渗透压,不宜用于细胞的分离。
⑵聚蔗糖:商品名Ficoll,常采用Ficoll-400也就是相对分子重量为400000,Ficoll渗透压低,但它的粘度却特别高,为此常与泛影葡胺混合使用以降低粘度。主要用于分离各种细胞包括血细胞、成纤维细胞、肿瘤细胞、鼠肝细胞等。
⑶氯化铯:是一种离子性介质、水溶性大,最高密度可达1.91g/ml。由于它是重金属盐类,在离心时形成的梯度有较好的分辨率,被广泛地用于DNA、质粒、病毒和脂蛋白的分离,但价格较贵。
⑷卤化盐类:KBr和NaCl可用于脂蛋白分离,KI和NaI可用于RNA分离,其分辨率高于铯盐。NaCl梯度也可用于分离脂蛋白,NaI梯度可分离天然或变性的DNA。
⑸Percoll:是商品名,它是一种SiO2胶体外面包了一层聚乙烯吡咯酮(PVP),渗透压低,它对生物材料的影响小,而且颗粒稳定,在冷却和冻融情况下还是稳定的,其粘度高,且在酸性pH和高离子强度下不稳定。它可用于细胞、细胞器和病毒的分离。
与制备性超速离心不同的是:分析性超速离心主要是为了研究生物大分子的沉降特性和结构,而不是专门收集某一特定组份。因此它使用了特殊的转子和检测手段,以便连续监视物质在一个离心场中的沉降过程。
(一)分析性超速离心的工作原理
分析性超速离心机主要由一个椭圆形的转子、一套真空系统和一套光学系统所组成。该转子通过一个柔性的轴联接成一个高速的驱动装置,此轴可使转子在旋转时形成自己的轴。转子在一个冷冻的真空腔中旋转,其容纳二个小室:分析室和配衡室。配衡室是一个经过精密加工的金属块,作为分析室的平衡用。分析室的容量一般为1ml,呈扇形排列在转子中,其工作原理与一个普遍水平转子相同。分析室有上下二个平面的石英窗,离心机中装有的光学系统可保证在整个离心期间都能观察小室中正在沉降的物质,可以通过对紫外光的吸收(如对蛋白质和DNA)或折谢率的不同对沉降物进行监视。后一方法的原理是:当光线通过一个具有不同密度区的透明液,在这些区带的界面上产生光的折射。在分析室中物质沉降时重粒子和轻粒子之间形成的界面就象一个折射的透镜,结果在检测系统的照相底板上产出一“峰”。由于沉降不断进行,界面向前推进,故“峰”也在移动,从峰移动的速度可以得到物质沉降速度的指标。图16-5是分析性超速离心系统的示意图。
(二)分析性超速离心的应用
⒈测定生物大分子的相对分子重量测定相对分子重量主要有三种方法:沉降速度、沉降平衡和接近沉降平衡。其中应用最广的是沉降速度,超速离心在高速中进行,这个速度使得任意分布的粒子通过溶剂从旋转的中心辐射地向外移动,在清除了粒子的那部分溶剂和尚含有沉降物的那部分溶剂之间形成一个明显的界面,该界面随时间的移动而移动,这就是粒子沉降速度的一个指标,然后用照相记录,即可求出粒子的沉降系数。

分子或粒子的相对分子重量则可从Svedberg方程式来确定:


图16-5 分析性超速离心系统图示
式中M:该分子不含水的相对分子重量;R:气体常数;T:绝对温度;S:分子的沉降系数;ν:分子的微分比容(当一克溶质加到一个大体积的溶液中所占有的体积);ρ:溶剂的密度。
⒉生物大分子的纯度估计静分析性超速离心已广泛地应用于研究DNA制剂、病毒和蛋白质的纯度。用沉降速度的技术来分析沉降界面是测定制剂均质性的最常用方法之一,出现单一清晰的界面一般认为是均质的,如有杂质则在主峰的一侧或二侧出现小峰。
⒊分析生物大分子中的构象变化分析性超速离心已成功地用于检测大分子构象的变化,例如DNA可能以单股或双股出现,其中每一股在本质上可能是线性的,也可能是环状的,如果遇到某种因素(温度或有机溶剂)DNA分子可能发生一些构象上的变化,这些变化也许可逆、也许不可逆,这些构象上的变化可以通过检查样品在沉降速度上的差异来证实。