生物体内具有防御自由基毒害的抗氧化剂或抗氧化酶。
SOD是催化O2-歧化反应的酶类,这种歧化反应属于自身氧化还原反应,O2-的歧化反应在H-存在下,经SOD催化,一半O2-氧化为O2,O2-的另一半还原为O22-。
SOD+O2-→SOD-+O2
SOD-+O2-+2H+→SOD+H2O2
(SOD:氧化型,SOD-:还原型)

SOD是生物对抗O2-毒性的酶,产物之一H2O2又可与O2-相互作用(Haber-Weins反应)产生OH·,借以清除细胞内O2-。缺氧条件下,培养的大肠杆菌里SOD含量少;有氧条件下,培养的大肠杆菌里SOD含量高。如果将上述两种大肠杆菌置于20个大气压的O2及N2条件下培养,当即见到无O2条件下预先培养的大肠杆菌迅速死亡;有O2条件下,预先培养的大肠杆菌对O2有抵抗性,因此,SOD在防止O2-的毒性方面具有重要意义。
SOD有含Cu、Zn的SOD(Cu、Zn-SOD),含Fe的SOD(Fe-SOD)及含Mn的SOD(MnSOD)三种存在形式。生物界中,细菌等原核生物及线粒体含有Fe-SOD和Mn-SOD,与高等动物所含的Cu、Zn-SOD相比,其蛋白质部分截然不同。目前从牛红细胞中提取了比较多的Cu、Zn-SOD,其结晶纯品已开始用于临床。各种SOD进行的歧化反应稍有不同,Fielden等测出Cu、Zn-SOD中的Cu有1/4处于还原不被氧化状态,这是因为有一部分Cu与O2-进行反应,另一部分处于非反应状态。

Pick等测出大肠杆菌的Mn-SOD对O21的催化反应有两种速度,推测Mn-SOD以三种形式存在并参与反应。
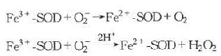
Fe-SOD参与反应的机制与Cu、Zn-SOD一样按两步进行:

SOD生理功能可归纳为:保护细胞,对抗氧的毒性;有助于H2O2浓度的调节,对付微生物的侵害。
维生素E又名生育酚,天然的生育酚有七种,其中分布最广泛的是α-生育粉,具有抗氧化作用。维生素E可抑制肝细胞内微粒体的过氧化脂类的生成。据报道,给予鼠维生素E有延长寿命的作用,在胎儿成纤维细胞传代培养中,给予维生素E者,传代数增加,可抑制过氧化脂类生成,其原因是作为生物体内自由基淬灭自由基(LOO·)生成的苯羟自由基的过程可被巯基化合物还原,特别是被GSH还原成生育酚,从而使生育酚能更有效的发挥作用。

维生素C也有与维生素E同样的作用,然而维生素E是脂容性,维生素C是水溶性,基作用场所不同,维生素C可使水中自由基淬灭,在防止膜受攻击上有重要意义。
体内H2O2可被氧化酶和氧化物酶转变为H2O2消除H2O2的毒性。过氧化氢酶可催化两两分子H2O2生成H2O2和O2过氧化物酶利用H2O2直接胺类等物质,某些组织中含有一种含硒的谷胱氧化酶,可使LOOH或H2O2与GSH反应将LOOH变成无毒的醇类。

活性氧的代谢途径及清除体系如图9-5所示。

图9-5 活性氧的代谢途径及清除体系
←:活性生成反应;□:活性氧;:清除酶系;AH:清除低分子化合物;AH:电子供体