第四节 超短波疗法
(Ultrashort wave therapy)
一、概述
应用波长为10-1米的超高频交流电作用人体,以达治疗目的方法,称为超短波疗法。由于治疗时采用电容式电极,而电容场中主要是超高频电场的作用,故又名超高频电场疗法。
二、物理学特性
超短波波长为10-1米,频率为30-300兆赫。国产治疗机波长有6米、7.2米、7.34米、7.7米等几种,频率为50兆赫左右。
由于超短波波长短,频率高,超短波电流很容易通过电介质,故治疗时电极不直接接触皮肤。
超短波之电流曲线一般为连续式,电流振荡是连续的;另一种为脉冲式超短波电流,是在连续超短波电流基础上加以低频脉冲调制和放大,形成一种间断的一般为矩形的超短波电流(图5.4.1)。其脉冲频率通常为100-1000赫,持续时间为1-100微秒,间断时间为1-10秒,脉冲最大功率为1-20千瓦,即相当于普通连续式超短波电流的数十倍。连续式超短波所产生的热能要比脉冲式的大得多。许多学者认为脉冲式超短波对人体的作用主要基于脉冲群的振荡效应。治疗时一般无热感。

图5.4.1 连续式(a)和脉冲式(b)超短波
此外,近年来还有大功率(输出功率1000瓦以上)超短波治癌机出现,用以治疗恶性肿瘤。
三、生物物理学特征
超短波作用人体产生各种生理反应的基本因素是热效应和非热效应。
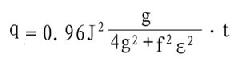
(一)热效应 由于人体是一个具有导电体和电介质的复合组织,在超短波作用下,体内同时形成了传导电流和位移电流。由于其频率更高,电介质的阻力越来越小,就形成了超短波治疗时,位移电流成分占优势,以介质损耗产热为主。但当频率极高时,偶极子就来不及转动或转动幅度极小,使介质损耗下降以至产热减少。这就说明产热随频率增加而增加的正比关系,只适用于一定范围之内的振荡频率。这种位移电流为克服介质阻力而产热,而介质损耗的大小与组织的介电常数密切相关,由于人体内各种组织的介电常数差别较小,故在超短波作用下产生的热分布比较均匀。这种产热情况比较复杂,可按公式分析

q-单位体积组织中产热量
J-电流密度g-导电率,等于q/ρ
f-频率ε-介电常数
t-通电时间
但在超短波电容电场治疗中,由于脂肪层中血管少,热量不易为血流带走,因此,其温度比供血丰富的肌肉还要高,据测定,波长7.34米超短波作用时,脂肪升温与肌肉升温之比达8:1,仍存在脂肪过热的缺点,实际治疗时可利用调整皮肤与极板间距使深部组织温度升高,皮及皮下脂肪温度降低(如图5.4.2)。

图5.4.2电容电场治疗时皮肤极板不同间隙时作用深浅及均匀程度
A-电极近皮肤,B-电极远离皮肤,C-电极近凹凸面不均匀,
D-电极远凹凸面作用均匀
(二)非热效应 高频电作用机体时形成的非热效应机理和各种反应已于本章第一节中阐述,在超高频电容电场中之生物体,受电位差电压作用,超高频电振荡波引起细胞内物质共振,引起液体表面张力的改变,对一些物质的表面张力增高,对另一些物质的表面张力降低。高速交变的高频电磁波作用时,当电场强度最大瞬间,使细胞向电场方向伸展,而场强最小瞬间又恢复原状。适当频率的电场可使细胞充分伸缩,对细胞和组织产生特殊刺激,引起特殊生物学作用。
超短波特别在用低强度作用,且用目前一切方法均不能测出温度升高时,其生物学效应仍非常明显,而同样条件的外源热作用则无类似效应。如:当应用短时间无热量超短波作用人体时,对急性炎症的消退比长时间温热量作用时的效果更明显,此外还可以引起其他组织器官的反应,统称为非热效应。发现这种非热效应在低场强(40mw/cm2以下)作用时表现特别明显,高强度作用时这种特殊作用就被热效应所掩盖。
四、生理作用和治疗作用
(一)对神经系统的作用 神经系统对超短波电场十分敏感,因为神经组织接近于电介质,尤其对大脑细胞,植物神经及内脏之末梢神经反应更敏感,中小剂量超短波作用头部时除有温热感外常出现嗜睡等中枢神经系统抑制现象。人体长期的大功率电场作用下,有嗜睡、困倦、易兴奋等现象,这些症状在停止接触或采取预防措施后迅速消失,在临床工作中因剂量小一般不出现不良反应。超短波作用延脑时,直肠和口腔温度升高。研究测定大脑组织和脊髓深部温度比表浅的高。小剂量超短波作用家兔头部后,E.E.G波幅度增高频率减低。使用强剂量(热量)作用时,有是时呼吸加快,唾液增多,E.E.G波幅减低,同时纺锤状波数目增多,这表明超短波能直接作用于脑组织。
有人研究证明用微热量超短波作用健康人植物神经无明显反应,但对伴有明显植物神经功能紊乱时,则对大多数患者有调整其功能趋于正常化的作用。一般常有抑制交感神经、兴奋迷走神经的作用,小剂量作用于高血压病人的交感神经节时,能使血压下降,心率减慢。临床研究用适当剂量超短波作用于腰骶神经节及病灶区以治疗下肢神经血管疾病,有降低交感神经紧张度,减轻血管痉挛,建立侧枝循环,改善组织营养和功能的作用。
超短波对感觉神经有抑制作用,故临床上有镇痛效果。小剂量能加速不全断离的神经纤维再生,大剂量则抑制之。
(二)对心血管系统的作用 超短波用治疗剂量作用于健康人心区、颈部或下肢远端未发现心脏功能有明显改变。但动物实验发现,过大剂量长时间作用后则使心律由减慢直至停止。动物实验证明超短波有兴奋迷走神经作用,对交感神经有抑制作用。有人用小剂量超短波作用对部分血循环代偿不全Ⅰ°级患者有改善心脏功能和症状作用。对代偿功能严重紊乱者无治疗作用。剂量过强时可出现不良反应,故胸部超短波治疗应注意心脏情况,一般尽量使电场不直接通过心脏,如治疗必须通过心脏时,宜用小剂量短时间,操作时须渐增渐减,并注意脉搏、心律和血压的变化,如遇不良反应及时停止。
超短波对血管的作用,除通过神经反射及体液作用影响心血管系统功能外,并对血管受纳器和血管平滑肌有直接作用。超短波作用于蛙的足蹼上,开始血管收缩,其后扩张,同时发现很多“储备”毛细血管及较大的动静脉均有轻度扩张,较大剂量时可保持2周之久。更强作用则引起毛细血管中的血流减慢而停止,这些血管比先前扩大3-10倍,此乃交感神经麻痹,副交感神经强烈兴奋所致,它比用同样温度的生理盐水加热时扩张更明显。人体用无热量和微热量超短波作用时,即可引起毛细血管扩张,在一定范围增加强度可使深部内脏血管扩张增强,并可保持数小时甚至数日之久,比其他疗法扩张血管作用更深更久。血管扩张,血流加速,组织器官血液循环改善,血管壁通透性增高,对一些血管病和炎症有好的疗效。超短波作用颈动脉窦或颈部交感神经节能使高血压病人的血压降低。作用头部或脊髓区能提高血脑屏障的通透性,增强某些药物的免疫物质进入脑和脊髓组织,可提高对脑炎和脊髓炎等的治疗效果。
(三)对血液和免疫系统的作用 动物实验:用Ⅰ-Ⅱ级剂量超短波作用于家兔后,使血细胞总数增加,Ⅲ级剂量作用后,红细胞数血红蛋白显著降低,这三种剂量都能使网红细胞数增加。中小剂量电场使骨髓充血,增强其造血机能,促使骨髓细胞及骨髓母细胞分裂,但大剂量长时间超短波全身照射使周围血细胞明显降低。最近国内动物实验报导:小剂量超短波15分钟作用有显著的抑制手术后静脉血栓形成的作用,可能对小血管手术有减少血管内血栓形成的作用。
对细菌、毒素及血清免疫成分的影响:实验证明,葡萄球菌及结核杆菌在超短波(4.8米)作用下,比在同样温度水浴中死得更快,电场的杀菌作用还与波长有关系。
家兔实验发现超短波作用后,血清总蛋白量稍高,白蛋白降低,α、β、γ球蛋白均增高,尤其γ-球蛋白增高明显。体内抗体和协同抗体杀灭病毒或溶解细菌的补体均增加,凝集素、调理素亦增加。
实验还证明:小剂量超短波作用后,巨噬细胞系统吞噬能力增加,48小时后更显著,把多形核白细胞放入生理盐水中用超短波作用后,其吞噬功能增加,放在超短波作用过的血清中,其吞噬功能也增加,但大剂量长时间全身作用下(45-60分钟以上),以上诸种免疫抗毒成分反而降低。
(四)对结缔组织的作用 临床与实验证明超短波作用下,能加速结缔组织再生,促进肉芽组织生长。但长期作用后可使上皮细胞增殖变厚,角质层增生,发生显著的脱屑,同时血管内皮细胞和结缔组织细胞分裂增殖加快,故超短波有加速伤口愈合和结痂作用,但如大剂量长时间作用则可使伤口及周围结缔组织过度脱水老化、坚硬影响伤口愈合。
(五)对炎症过程的影响 大量临床观察和实验研究证明超短波对炎症,特别是急性化脓性炎症有良好作用。在治疗急性炎症时,证明小剂量有明显的消炎作用,大剂量有时反可使病情恶化。超短波对浅层组织急性炎症的治疗以小剂量为宜,治疗深部内脏感染时则剂量要相应增大些,这是由于超短波透过人体的电场分布和耗损有关。其消炎机理:
1.首先对神经系统产生良好影响,改善神经营养和神经功能状态,使炎症组织的兴奋性降低,阻断或减低了病理性冲动的恶性循环。
2.使局部组织血管扩张,血液淋巴循环增强,血管壁通透性增高,局部组织的营养和代谢过程改善。
3.免疫系统功能增强,对炎症组织中的细菌有明显抑制作用。
4.促使炎症组织中的pH值向碱性方向逆转,从而消除了组织的酸中毒,有利于组织的抗炎作用。
5.炎症组织中钾离子减少,钙离子增加,加上血管扩张血循环加强,血管通透性增高,从而有利炎症消除,并促进渗出液和漏出液的吸收,即所谓脱水作用。
6.加速结缔组织和肉芽组织的再生和生长。
(六)对肾脏的影响 超短波电场作用肾脏后有扩张肾血管,解除肾脏血管痉挛和促进利尿的作用。有人采用超短波作用健康人的肾脏时,能增强利尿作用,不但增加排尿量,且尿的成分亦有改变。实验研究发现,弱剂量(微热量)作用肾区后,利尿作用增强,强剂量(显热量)作用时开始抑制,而后利尿作用增强,且比微热量作用时之排尿量更多,并证明电场直接作用肾实质时利尿最强。国内外临床实验发现:微热量超短波肾区作用,对急性肾炎有良好效果,发现有增强肾血循环,增强利尿,尿蛋白减少,血非蛋白氮含量降低,并有明显降压作用,有促进恢复,缩短痊愈日期和预防变成慢性肾炎等作用。
超短波肾区作用治疗少尿或无尿症有明显效果。我科总结32例因各种原因(磺胺、青、链霉素、汞剂等过敏或中毒、出血性休克、出血热、输血反应、妊娠中毒、败血症,严重烧伤、中毒性休克等)的急性肾功能衰竭患者,在综合治疗中,经采用超短波肾区疗法后痊愈27例。电疗平均2.3天后尿量增加,4.7天后尿量恢复正常,效果显著。另据我校二院理疗科报导,采用超短波肾区治疗出血热患者中发现有促进出血热病人免疫功能恢复的作用。国外有专家指出,认为超短波治疗无尿症比一般临床常用疗法如利尿剂,腹膜及肠道透析和肾包膜剥离术等效果显著。
(七)对内分泌腺的作用 1932年Schliephake氏首先以超短波照射免的头部发现血糖有改变。在照射人的垂体时亦可见血糖升高40%,1954年Van Went氏较全面地研究了超短波对脑下垂体的影响,他用超短波波长5.87米,电极直径8厘米,微热量,每次7分钟,一极置鼻根部,另一极置头后对置法,或两颞(垂体平面)对置法。作用后发现垂体前叶、后叶激素分泌均大为增加。对垂体激素系统功能起调整作用,促使肾上腺皮质激素增多,促进肾上腺分泌考地松类物质增加。若肾上腺皮质功能良好者,则可见血液中嗜酸细胞降低50%以上。临床上可用以治疗多种疾病。对健康人的血压影响不大,高血压患者血压可见上升,但治疗结束后即见下降。国内有人报导,家兔实验,超短波照射脑下垂体,并不引起肾上腺皮质功能变化,而直接作用肾上腺区时,有增强皮质功能的作用,在一定范围内超短波剂量增大可使皮质功能增强持续48小时以上。
超短波对性腺作用较敏感,小量有促进其功能作用,大量超抑制作用。动物实验发现大剂量时可引起退行性改变,有报告大剂量作用怀孕动物可引起流产。
Sadiman和Mayer用超短波作用胰腺后血糖明显下降。RaaB等指出用小剂量超短波多次治疗有再生能力的胰岛组织细胞时才可能出现血糖下降。保加利亚学者报导用的超短波治疗小儿糖尿病患者获得较好效果。
Dusset用超短波作用甲状腺治疗甲状腺功能低下患者取得良好效果,RaaB对甲状腺功能亢进患者治疗,对其中部分病人能改善其症状。
(八)对消化系统的影响 动物实验发现超短波电场有促进胃肠分泌和增强胃肠道吸收功能的作用,并可解除胃肠道痉挛。有人认为该作用是由于超短波作用交感及副交感神经,改善胃肠血液循环,刺激胃肠粘膜细胞功能所致。
超短波作用于肝脏时,除加强免疫功能外,血液中补体效价、纤维蛋白元含量、血小板数、组织胺含量、红细胞数、胆红素、氢离子浓度、全血和血浆粘性、血沉、残留氮等均升高。而血钾、血清粘性、血液的导电性都降低。以小剂量超短波作用于四氯化碳引起肝炎的狗的肝区10-15次后,肝功完全恢复正常而对照组则无变化。另有实验证明超短波有加强肝脏解毒功能的作用。实验研究超短波作用肝胆区能刺激胆汁排向十二指肠,并能增强胰腺的分泌。超短波作用1-1又1/2小时后胆汁排出增加,胆汁量增加,并可持续3-4天,比中波作用强,但大剂量时,胆汁分泌先增加而后抑制。有人报导超短波治疗急性传染性肝炎有良好作用。超短波作用脾脏后除巨噬细胞系统增强外,还发现血中胆固醇含量增加。
五、设备与治疗方法
(一)治疗机 国产的超短波治疗机,按输出功率可分为两种规格:一种是立地式大功率(200-400瓦)治疗机,另一种是手提式小功率(25-80瓦)治疗机,输出电流为数安培。前者适用于大部位,深层组织和内脏疾病的治疗,后者适用于小部位,浅层组织,特别是五官科疾病的治疗。
(二)电极 超短波治疗电极以电容电极为主。这些电极由金属网或金属板构成,治疗时为避免金属直接接触造成烫伤,金属外面必须用绝缘物覆盖。因超短波波长短,频率高(30-300兆赫),超短波电流很容易通过电介质,故治疗时电极无需直接接触皮肤。电极和皮肤间隙以空气或用干毛巾棉垫隔开。电容电极按照其形状可分为:
1.板状电极 内部是金属网或金属片,外包橡胶、毛毡、绒布等物质,呈长方形,正方形长条形。一般分大、中、小三套。
2.圆形电极 内为金属板,外包橡胶、绒布。一般亦有大、中、小三种,其直径分别为12厘米,9或8厘米,以及5或4厘米。
此外,超短波治疗机还附有直肠和阴道等体腔治疗用的金属电极,这种体腔电极一般都有玻璃外罩。治疗时经消毒后可直接插入腔道中。
(三)治疗剂量 在实际工作中主要是根据病人的感觉,参考氖灯管亮度和仪表读数,而区分为如下的几种剂量
1级(无热量):患者无温热感,氖灯管刚启辉,光暗弱。
2级(微热量):仅稍有微温感,氖灯管全亮,光暗淡。
3级(温热量):有舒适温热感,氖灯管明亮。
4级(热量):有明显热感,但能耐受,氖灯管明亮。
临床上,一般急性炎症或急性病,用1级量(每次8-10分钟)或2级量(每次10-12分钟)。慢性炎症或慢性病用3级量或4级量(每次15-20分钟),4级量一般少用。
其次,对神经节段反射的治疗,一些敏感的器官如眼、脑、心脏、睾丸和卵巢等,以及全身情况衰弱,或有明显植物神经系统功能紊乱,或贫血的患者等均应采用小剂量治疗。儿童多用8-12分钟。
疗程应根据病情发展而定,如一般急性炎症6-8次即有明显好转或治愈。慢性炎症则需12-24次方可好转或减轻。
(四)操作方法要点
1.患者取舒适体位,治疗部位无需暴露,可将所着衣服的厚度计算在间隙内。
2.选用适当电极,对准治疗部位,并根据病变深浅和病情需要确定垫物(间隙)厚度。
3.超短波电场治疗主要应用电容电极法,其电场的分布与电极放置方法、极板和皮肤间距大小密切相关,常用有双极法和体腔法。
(1)双极法分为对置法与并置法,前者用于治疗深部或内脏病灶,后者用于表浅或病变广泛而较浅表的部位,以使电场的密集电力线通过靶物为原则(图5.4.3~5.4.6)。

|

|
图5.4.3 左侧乳腺炎治疗方法 |
图5.4.4 背部痈的治疗方法 |

|

|
图5.4.5 阑尾炎的治疗方法 |
图5.4.6 前列腺治疗方法之一 |
(2)体腔法 是双极法的一种特殊形式,特制的体腔电极(直肠、阴道等)置于相应的腔道内,另一板状或带状电极可置于腹部、腰骶、或围绕骨盆周围。
4.电极与皮肤距离(气距)因治疗部位以及所用机器的输出功率而有所不同。一般病变部位浅表,间隙宜小,病变深在,间隙宜大。应用大功率治疗机时,间隙应加大;应用小功率治疗机时,间隙应缩小,在具体应用时还需考虑病变的范围和所用电极的大小。一般小电极、小功率机治疗小部位时,间隙0.5-1厘米。大电极、大功率机治疗大部位,深部病变时,间隙3-4厘米。对表面高低不平的部位气距相对宜大,以免作用不均(图5.5.7)。
5.小儿头部慎用对置法,成人头部治疗时剂量不宜过大。用并置法时,两电极间距离不宜小于电极的直径,或至少不得小于电极的半径。
六、主要适应证和禁忌证
适应证
(一)超短波广泛应用于一切炎症过程 如软组织、关节、骨骼、五官、胸腹腔脏器、神经系统、生殖器等的炎症,对急性亚急性炎症效果更好。特别对化脓性炎症疗效显著,早期应用可使炎症加速消退不致化脓,当已有组织坏死时应用则可使炎症局限化,加速脓肿成熟、破溃;在破溃或切开引流畅通情况下应用,可促使坏死组织脱落肉芽组织生长,加速伤口愈合。超短波对急性软组织感染治疗,不但可缩短疗程,提高治愈率,同时可减少手术的机会。如果用超短波结合抗菌素治疗急性化浓性炎症时,其疗效明显比单纯应用一种为高,有的报导二者合并治疗较单用抗菌素治疗,可将药量减半。
常用于疖、痈、脓肿、瘭痈、蜂窝组织炎、急性化脓性乳腺炎、淋巴腺炎、淋巴管炎、化脓性副鼻窦炎、中耳炎、扁桃腺炎、喉炎、急性肺炎、枝气管炎、胸膜炎、肺脓疡、骨髓炎、阑尾炎、阑尾脓肿、盆腔炎、附睾炎等,苏联学者提出头面部疖、痈,如不采用超短波治疗是治疗上的错误,由此可见超短波在治疗急性化脓性炎症中的重要地位。其次对小儿慢性肺炎,超短波也是综合疗法中重要措施之一,有良好的效果但疗程较长。我们发现对炎症引起的小儿肺不张,综合应用超短波能加速肺部炎症消退和肺不张消失。此外对一些非化脓性炎症超短波也有较好疗效,如脊髓灰白质炎和急性横贯性脊髓炎早期、间质性肺炎、卡他性中耳炎、视网膜脉络膜炎、流行性腮腺炎、传染性肝炎、滑囊炎、肌炎、神经炎、神经根炎、大脑炎等结合药物或一般疗法均能提高疗效。
(二)疼痛性疾病 如神经痛、灼性神经痛、肌痛、幻肢痛等。
(三)血管运动神经和一些植物神经功能紊乱的疾病 如症状性高血压(Ⅰ-Ⅱ期)、闭塞性脉管炎、雷诺氏病、枝气管哮喘、胃肠功能低下、痔疮、结肠、膀胱、直肠痉挛、胃贲门痉挛、食管痉挛大多有良好的疗效。此外对急性亚急性肾炎、急性肾功衰竭引起的少尿症或无尿症疗效显著。
(四)各期冻伤 超短波治疗冻伤有明显效果。Ⅰ、Ⅱ期冻伤,甚至Ⅲ期冻伤并伴有坏死者均适合用超短波治疗。但必须用弱剂量(微热量或无热量6-12分钟),可以加速消炎,消除水肿,并能预防坏疽的发生和发展,Янощевская及Дунаевский等在苏联卫国战争医疗经验中证明:综合应用超短波疗法是治疗冻伤的有效方法,发现在局部用超短波治疗2-3次后(无热量),即可使水肿减轻、疼痛消失、全身情况改善、再生过程加速,并能减少冻伤引起的感染坏死等的并发症。有人提出治疗冻伤的方案:
1.第Ⅰ度冻伤:采用局部超短波治疗(无热量或微热量)。
2.第Ⅱ度冻伤:超短波局部治疗加上相应脊髓节段(颈或腰)及交感神经节治疗。
3.第Ⅲ度冻伤:局部病灶部位超短波治疗。
(五)各种创伤伤口及溃疡 超短波能加速各种创伤反应的消退,如疼痛、肿胀、血肿、关节积血、积液以及骨折,脱臼复位后肿胀等。
超短波能加速伤口肉芽组织生长和炎症的消退、促使伤口愈合,特别对急性亚急性感染伤口以及有大量软组织缺损的伤口效果显著。但由于超短波多次作用后有脱水和促使肉芽组织及新生上皮组织老化坚硬的作用,所以连续应用超短波的次数不宜过多,一般以不超过15次为宜,而且对感染伤口的理疗亦根据对不同发病阶段不同病理变化,采用不同物理因子和不同剂量的治疗原则。
(六)其他
1.超短波脑下垂体法,可治疗枝气管哮喘,慢性溃疡性结肠炎、月经紊乱、痛经、阳萎、类风湿性关节炎和某些皮肤病等。
2.超短波作用颈交感神经节或颈胸腰交感神经节,可治疗局部或全身性神经性皮炎,圆形脱发及某些与神经因素有关的湿疹有较好效果。
3.超短波胰腺部位电疗(小剂量、多次治疗)可治疗糖尿病,特别对小儿糖尿病有较好的效果。
禁忌证 有出血倾向者、低血压、心力衰竭、活动性结核、恶性肿瘤(一般剂量为禁忌)、装起搏器及心瓣膜置换者。
[附]处方举例
(1)大超短波 中号极 温热量 气距3-4cm 两肾区与腹前对置,15-20分钟 每日1-2次 共12次。
适应证:急性肾炎、急性肾功衰竭
(2)大超短波 中号极 微热量 气距3-4cm右下胸前后对置 12-15分钟 每日1-2次 12次
适应证:急性肺炎(右下肺)、肺脓疡
(3)小超短波 中号极 微热量 气距1cm 右耳前后对置 10-12分钟 每日1次 6次
适应证:急性外耳道炎(右)
(4)小超短波 中号极 微热量 气距1cm 两上颌窦并置 10-12分钟 每日1次 6次
适应证:急性上颌窦炎(双)