第三节 沉淀-溶解平衡
一、溶度积
电解质的溶解度在每100g水中为0.1g以下的,称为微溶电解质。在一定温度下,当水中的微溶电解质MA溶解并达到饱和状态后,固体和溶解于溶液中的离子之间就达到两相之间的溶解平衡:

s表示固体,根据化学平衡原理:

[MA(s)]是常数,可以并入常数项中,得到
[M+][A-]=K[MA(s)]=Ksp (2-8)
式(2-8)表明:在微溶电解质的饱和溶液中,温度一定时,各离子浓度幂之乘积为一常数,称为溶度积常数,简称溶度积。用符号Ksp表示。
对于MmAn型电解质来说,溶度积的公式是
[M]m[A]n= Ksp (2-9)
须注意,式(2-9)中省略了离子的电荷。
表2-7列出了一部分微溶电解质的溶度积。溶度积的大小取决于微溶电解质的本性,它随温度的升高而升稍微增大。
表2-7 一些微溶电解质的溶度积(18~25℃)
微溶电解质 |
Ksp |
微溶电解质 |
Ksp |
AgBr |
5.0×10-13 |
Ca3(PO4)2 |
2.0×10-29 |
AgCL |
1.8×10-10 |
Mg(OH)2 |
1.8×10-11 |
Ag2CrO4 |
1.1×10-12 |
Cu(OH)2 |
2.2×10-20 |
AgI |
8.3×10-17 |
CuS |
6.3×10-36 |
Ag2S |
6.3×10-50 |
Fe(OH)2 |
8.0×10-16 |
Al(OH)3 |
1.3×10-33 |
Fe(OH)3 |
4×10-38 |
BaCO3
BaSO4 |
5.1×10-9
1.1×10-10 |
HgS(红色) |
4×10-53 |
CaCO3 |
2.8×10-9 |
PbS |
8.0×10-28 |
CaF2 |
2.7×10-11 |
CaC2O4 |
4×10-9
|
溶度积和溶解度都可以表示物质的溶解能力,所以它们之间可以互相换算。知道溶解度可以求出溶度积,也可以由溶度积求溶解度。不过由于影响微溶电解质溶解度的因素很多,如同离子效应、盐效应等,所以换算往往是比较复杂的。我们只介绍不考虑这些因素时的简单换算方法。但是要注意不能把它推广应用到任意微溶电解质。
应该指出:溶度积的大小与溶解度有关,它反映了物质的溶解能力。对同类型的微溶电解质,如AgCL,AgBr,AgI,BaSO4,PbSO4,CaCO3,CaC2O4等,在相同温度下,Ksp越大,溶解度就越大;Ksp越小,溶解度就越小。对于不同类型的微溶电解质,不能认为溶度积小的,溶解度都一定小。如Ag2CrO4的溶度积(Ksp=1.1×10-12)比CaCO3的溶度积(Ksp=2.8×10-9)小,但Ag2CrO4的溶解度(6.5×10-5mol·L-1)却比CaCO3的溶解度(5.29×10-5mol·L-1)大.因此,从Ksp大小比较溶解度大小时,只有在同类型的电解质之间才能直接比较,否则要通过计算,下面举例说明溶解度和溶度积之间的换算。
例6 25℃时,AgCL的溶解度是0.00192g·L-1,求它的溶度积.
解: AgCL的相对分子质量为143.3,AgCL饱和溶液的量浓度为:
0.00192/143.3=1.34×10-5(mol·L-1)
根据AgCL在溶液中的离解:

溶液中应有 [A+]=[CL-]=1.34×10-5 mol·L-1
所以AgCL的Ksp=[A+][CL-]=(1.34×10-5)2=1.80×10-10
例7 25℃时, Ag2CrO4的溶解度是6.50×10-5mol·L-1,求它的溶度积。
解: 根据Ag2CrO4在溶液中的离解:

溶液中应有
CrO42-]=6.50*10-5=mol.L-1
[Ag+]=2*6.50*10-5=13.0*10-5mol.L-1
所以Ag2CrO4的Ksp=[Ag+]2[CrO42-]=(13.0*10-5)2*6.50*10-5=1.1*1012
例8 18℃时,Mg(OH)2的Ksp=1.8×10-11,求它的溶解度。
解: 设Mg(OH)2的溶解度为x mol·L-1,根据Mg(OH)2在溶液中的离解:

溶液中应有
[Mg2+]=χmol.L-1[OH-]=2χmol.L-1
Ksp=[Mg2+][OH-]2=χ.(zχ)2=1.8*10-11
χ=1.65*10-4(mol.L-1)
二、影响微溶电解质溶解度的因素
影响微溶电解质溶解度的因素较多,这里只讨论有其它电解质存在时对溶解度的影响。
(一) 同离子效应
在微溶电解质溶液中,加入含有同离子的强电解质时,微溶电解质多相平衡将发生移动。例如,在AgCL的饱和溶液中加入AgNO3,由于Ag+浓度增大,平衡将向生成AgCL沉淀的方向移动,即降低了AgCL的溶解度。这种结果也是同离子效应。反应如下:

(二)盐效应
如果在微溶电解质溶液中,加入不含同离子的强电解质,则微溶电解质的溶解度会增加。例如,AgCL在KNO3溶液中要比在纯水中的溶解度大。这种结果称为盐效应。
严格地讲,溶度积应是电解质离子活度的乘积。以AgCL为例:
Ksp=αAg+.αc1=[Ag+].fAg+.[Cl-].fcl-
由于在单纯的AgCL的溶液中,离子强度极低,fAg+和fCl-均接近于1,所以
Ksp=[Ag+][Cl-]
但是,当溶液中同时存在一定量KNO3时,溶液的离子强度大为增加,fAg+和fCL-都不接近于1,而是比1小。为了保持Ksp不变,[A+]及[CL-]都要相应增大,即AgCL的溶解度有所增大 ,这就是盐效应的结果。
三、沉淀的生成和溶解
在一定条件下,根据溶度积常数可以判断微溶电解质沉淀能否生成和溶解。
在某微溶电解质溶液中,各有关离子浓度幂之乘积称为离子积。对于MmAa微溶电解质来说,溶液中[M]m[A]n称为它的离子积它可以是任意数值,不是常数,因为并未注明是饱和溶液。离子积和溶度积两者的概念是有区别的。①当溶液中[M]m[A]n<Ksp时,是未饱和溶液,如果体系中有固体存在,将继续溶解,直至饱和为止;②当[M]m[A]n = Ksp时,是饱和溶液,达到动态平衡;③当[M]m[A] n>Ksp时,将会有MmAn沉淀析出,直至成为饱和溶液。以上三点称为溶度积规则,它是微溶电解质多相离子平衡移动规律的总结。根据溶度积规则可以控制离子浓度,使沉淀生成或溶解。
(一)沉淀的生成
根据溶度积的规则,在微溶电解质溶液中,如果离子积大于溶度积常数Ksp,就会有沉淀生成。因此,要使溶液析出沉淀或要使沉淀得更完全,就必须创造条件,使其离子积大于溶度积。
例9 AgCL的Ksp=1.80×10-10,将0.001 mol·L-1NaCL和0.001 mol·L-1AgNO3溶液等体积混合,是否有AgCl 沉淀生成.
解: 两溶液等体积混合后, Ag+ 和CL-浓度都减小到原浓度的1/2.
[Ag+]=[CL-]=1/2×0.001=0.005(mol·L-1)
在混合溶液中,则[Ag+][CL-]=(0.005)2=2.5 ×10-7
因为[Ag+][CL-]>Ksp,所以有AgCl 沉淀生成.
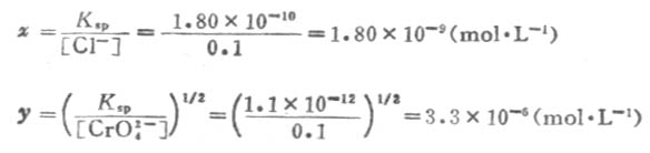
例10 在0.1 mol·L-1KCL和0.1 mol·L-1K2CrO4混合溶液中,逐滴加入AgNO3溶液,问AgCL和AgCrO4两种微溶电解质,哪个最先产生沉淀?
解:设混合液中产生AgCL沉淀时,所需[Ag+]为x mol·L-1,而产生Ag2CrO4沉淀时,所需[Ag+]为y mol·L-1;已知AgCL的Ksp=1.80×10-10,Ag2CrO4的Ksp=1.1×10-12.
根据溶度积常数表达式,则

因为x《y ,就是说产生AgCL沉淀时所需Ag+的浓度远小于产生AgCrO4沉淀 时所需Ag+的浓度。所以,在混合溶液中,逐滴加入AgNO3溶液时,最先析出AgCL白色沉淀;只有溶液中[Ag+]达到3.3×10-6mol·L-1以上时,才能析出Ag2CrO4砖红色沉淀。
由此可见,溶液中有两种以上都能与同种离子反应产生沉淀的离子时,最先析出的是溶解度较小的化合物,这就是分步沉淀。
例11 BaSO4在水中的溶解度是1.05×10-5 mol·L-1,问在0.01 mol·L-1Na2SO4溶液中BaSO4的溶解度是多少?
解: BaSO4的Ksp =1.1×10-10,BaSO4在溶液中的离解平衡:

设在0.01 mol·L-1Na2SO4溶液中BaSO4的溶解度为x mol·L-1,则[Ba2+]=x mol·L-1,[SO2-4]=(0.01+x) mol·L-1因为x值远小于0.01,可以忽略不计,则(0.01+x)≈0.01,所以
x×0.01=1.1×10-10
x=1.1×10-8
由此可见,在微溶电解质饱和溶液中,加入含有相同离子的强电解质时,将使微溶电解质的溶解度降低,这就是前面所讲到的同离子效应.所以,加入适当过量的沉淀剂,可以使沉淀更趋完全,达到我们所要求的目的.
(二)沉淀的溶解
根据溶度积原理,沉淀溶解的必要条件是溶液中离子积小于溶度积Ksp因此,创造一定条件,降低溶液中的离子浓度,使离子积小于其溶度积,就可使沉淀溶解.
使沉淀溶解的常用方法主要有三种:
1.加入适当试剂,使其与溶液中某种离子结合生成弱电解质.
大多数微溶氢氧化物都能溶于强酸.例如Fe(OH)3能溶于盐酸.反应如下:

由于溶液中生成了弱电解质H2O,使[OH]-减小,溶液中[Fe3+][OH-]3<Fe(OH)3的Ksp,使平衡向Fe(OH)3溶解的方向移动,即向右移动.若有足量盐酸,沉淀可以完全溶解.
少数微溶氢氧化物能溶于铵盐.例如Mg(OH)2溶于铵盐的反应如下:

由于溶液中生成了弱电解质NH3和H2O,使[OH-]减小,溶液中[Mg2+][OH-]2<Mg(OH)2的Ksp,使平衡向Mg(OH)2溶解的方向移动。若有足量铵盐,沉淀可以完全溶解。
大多数微溶弱酸盐都能溶于强酸,例如CaCO3能溶于盐酸。反应如下:

由于溶液中生成了弱电解质H2CO3,H2CO3不稳定,分解成H2O和CO2,CO2从溶液中逸出,使[CO2-3]减小。所以溶液中[Ca2+][CO2-3]<CaCO3的Ksp ,平衡向CaCO3溶解的方向移动。若有足量盐酸,沉淀可以完全溶解。
2.加入适当氧化剂或还原剂,与溶液中某种离子发生氧化-还原反应。 例如,在CuS沉淀中加入稀HNO3,因为S2-被氧化成单质硫,从而使溶液中[S2-]减小,所以溶液中[Cu2+][S2-]<CuS的Ksp,使CuS沉淀逐步溶解。反应如下:
3CuS+8HNO3=3Cu(NOa)2+2NO↑+4H2O+3S↓
3.加入适当试剂,与溶液中某种离子结合生成配合物。
例如,AgCL沉淀能溶于氨水。反应如下:
由于生成了稳定的[Ag(NH3)2]+,大大降低了Ag+的浓度,所以AgCL沉淀溶解。
应当指出,在含有沉淀的溶液中,加入适当试剂与溶液中某种离子结合生成更难溶解于水的物质,这叫做沉淀转化。例如,在PbCL2沉淀中,加入Na2CO3溶液后,又生成了一种新的沉淀PbCO3。反应如下:

由于反应生成了更难溶解的PbCO3沉淀,降低了溶液中[Pb2+],使平衡向生成PbCO3沉淀的方向移动,所以PbCL2沉淀溶解。
由此可见,在有微溶电解质固体存在的溶液中,只要有关离子积小于Ksp,这种微溶电解质就能溶解。因此,在实际工作中,常在有微溶电解质固体存在的溶液中加入某种物质,如能与微溶电解质的离子反应,生成弱电解质、配合物、更难溶解垢物质或可以发生氧化还原反应,从而破坏了沉淀与离子间的平衡,可以促进微溶电解质的溶解或转化。