见表7.5第(1)栏,表中第(2)、第(3)栏是变量值,第(2)栏由上而下从小至大排列,第(3)栏由下而上从小至大排列。第(4)栏是第(3)栏与第(2)栏之差。
(2)由附表5按n查出ain系数列入表7.5第(5)栏,由于当n为奇数时,对应于中位数秩次的ain为0,所以中位数只列出,不参加计算。第(6)栏是第(5)栏与第(4)栏的乘积。
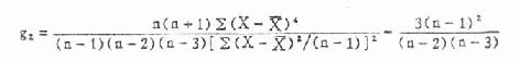
(3)按式(7.8)计算W值
(7.8)
式中分子的∑,当n是偶数时,为
的缩写,当n是奇数时为
的缩写,表7.5
第(6)栏的合计平方后即为分子。分母按原始资料计算。
(4)查附表6得P值,作出推断结论,按n查得W(n,α),α是检验前指定的检验水准,若W>W(n,α)则在α水准上按受H0,资料来自正态分布总体,或服从正态分布;若W≤W(n,α),则在α水准上拒绝H0,接受H1,资料非正态。
例7.8 测得20例40—49岁健康人右侧腓总神经的传导速度(m/sec)如表7.5第(2)、第(3)栏,试检验此资料是否服从正态分布。
H0:总体服从正态分布
H1:总体为非正态分布
α=0.05
计算表7.5各栏。
表7.5 W法正态性检验计算表
| 秩号 |
传导速度(m/sec) |
i (1) |
Xi (2) |
Xa-i+1 (3) |
Xa-i+1-Xi (4)=(3)-(2) |
ain (5) |
ain(Xa-i+1-Xi) (6)=(5)(4) |
| 1 |
40.7 |
56.7 |
16.0 |
0.4734 |
7.5744 |
| 2 |
40.9 |
56.0 |
15.1 |
0.3211 |
4.8486 |
| 3 |
46.0 |
55.0 |
9.0 |
0.2565 |
2.3085 |
| 4 |
47.6 |
54.9 |
7.3 |
0.2085 |
1.5221 |
| 5 |
47.7 |
53.5 |
5.8 |
0.1686 |
0.9779 |
| 6 |
48.3 |
52.9 |
4.6 |
0.1334 |
0.6136 |
| 7 |
49.1 |
51.8 |
2.7 |
0.1013 |
0.2735 |
| 8 |
50.0 |
50.9 |
0.9 |
0.0711 |
0.0640 |
| 9 |
50.1 |
50.9 |
0.8 |
0.0422 |
0.0338 |
| 10 |
50.2 |
50.8 |
0.6 |
0.0140 |
0.0084 |
18.2240
∑ain(Xa-i+1-Xi) |
∑Xi=1004 ∑Xi2=50756.16 ∑(X-x )2=355.36
代入式(7.8)
W=(18.2240)2/355.36=0.9347
查附表6,n=20,α=0.05,W(20,0.05)=0.905
W>W(20,0.05) P>0.1,在α=0.05水准上接受H0,该资料服从正态分布。
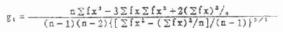
2.动差法 又称矩法。既能用于小样本资料,亦可用于大样本资料的正态性检验。本法运用数学上三级动差和四组动差分别组成偏度系数与峰度系数,然后检验资料中否服从正态分布。当频数分布为正态时,偏度系数与峰度系数分别等于0,但从正态分布总体中抽出的随机样本,由于存在抽样误差,其样本偏度系数g1与样本峰度系数g2不一定为0,为此,需检验g1、g2与0的相差是否有显著性。其检验假设为①偏度系数等于O,即频数分布对称;②峰度系数等于0,即为正态峰。
偏度系数g1、峰度系数g2的公式见式(7.9)与(7.11)。当用频数表资料计算时可用式(7.10)与式(7.12),式中n为例数,f为频数。

(7.10)
(7.11)
(7.12)
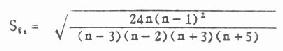
g1、g2的抽样误差分别为Sg1与Sg2,见式(7.13)与式(7.14)
(7.13)
(7.14)
假设检验用u检验,其公式为
u1=g1/Sg1 (7.15)
u2=g2/Sg2 (7.16)
u的显著性界限为
∣u∣<1.96P>0.05在α=0.05的水准上接受H0。
1.96≤∣u∣<2.580.05≥P>0.01在α=0.05的水准上拒绝H0。
∣u∣≥2.58P≤0.01在α=0.01的水准上拒绝H0。
例7.9 用动差法检验例7.8的资料是否服从正态分布。
1.H0:频数分布对称,H1:频数分布不对称。
2.H0:频数分布为正态峰,H1:频数分布不是正态峰。
α=0.05
∑(X-x )2=355.36,∑(X-x )3=-1032.45
∑(X-x )4=20150.4316 n=20


u2=0.6221/0.9924=0.627 P>0.20
在α=0.05的水准上接受H0,频数分布对称(P>0.05),并为正态峰(P>0.20)。因此可认为该资料服从正态分布。
二、两方差的齐性检验
方差齐性检验的方法是以两方差中较大的方差为分子,较小的方差为分母求一比值(称为F值),然后将求得的F值与临界值比较,看相差是否显著,现举一例说明。
例7.10 某单位测定了蓄电池厂工人32号,得尿氨基乙酰丙酸(mg/l)的平均含量为7.06,方差为42.3072,又测定了化工厂工人6名,得平均含量为3.48,方差为0.9047,试比较两方差的相差是否有显著意义?
检验假设H0:σ12=σ22,H1:σ12≠σ22α=0.05
定方差较大的一组为第1组,较小者为第2组,求出F值,公式为
F=S12/S22,S1>S2 (公式7.17)
本例F=42.3072/0.9047=46.76
现将F值与附表7中的F.05(ν1,ν2)比较。该表上端数值是较大均方(即方差)的自由度,用v1表示,左侧的数值是较小均方的自由度,用ν2表示。本例ν1=n1-1=32-1=31(表内ν1纵行没有31,可查邻近的数值30),ν2=n2-1=6-1=5,查得F.05(30,5)=6.23,本例F=46.76>F.05(30,5),P<0.05,故在α=0.05水准处拒绝H0,接受H1。两方差的差别显著。
(俞元春胡琳 编)