您现在的位置: 首页 > 药物手册 > 药品世界 > 主要作用于循环系统的药物 > 降血压药 > 正文 用户登录 注册
福辛普利钠
繁体版

福辛普利

  【药物名称】福辛普利钠  fosinopril sodium

  【药物别名】磷西洛谱利、蒙诺  Fosfenpril,SQ28555、Monopril

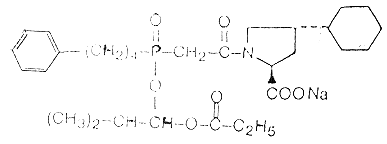
  【分子式成分】4-环已基-1-〔1-羟基-2-甲基丙氧基〕(4-苯基丁基)氧膦基丁乙酰基〕-L-脯氨酸丙酸酯。

  【制剂规格】片剂:10 mg

  【药理毒理】福辛普利是新一代含膦酸基的血管紧张素转换酶(ACE)抑制剂,为一前体药物,吸收后在胃肠道和肝脏被水解成有活性的二酸复合物福辛普利拉而发生作用。福辛普利与其他所有ACE抑制剂一样,能竞争性地与ACE的活性配基锌离子结合,阻断血管紧张素Ⅰ转变成血管紧张素Ⅱ,从而使血管扩张,醛固酮分泌减少,使血压下降。福辛普利也能抑制激肽酶,使缓激肽分解减少,从而使血管扩张,而发挥降压作用。福辛普利能使全身血管阻力降低,使心输出量、左心室射血分数和左心室充盈增加,从而改善心功能。本品也能使肾血流、肾小球过滤和血浆容量得到维持或改善,使肾血管阻力降低。本品在有效降压的同时,不引起脑血流量改变,其降压的起效时间为1 h,最大作用时间为3~6 h。

  【药 动 学】本品口服后Tmax为3 h,T1/2为12 h。蛋白结合率为95%,分布容积相对较小。在ACE抑制剂中,本品具有独持的清除模式。肾功能正常者单次静脉给予福辛普利拉,96 h后尿和粪便清除率平均分别为44%和46%。当肾功能从轻度到重度受损时,福辛普利拉的肾清除占总体清除的比例逐渐变小(轻、中、重度肾功能损害时肾清除分别为37%、21%及15%),而肝清除占福辛普利拉总体清除的比例则逐渐增大(分别为63%、79%及85%)。由于本品具有肾脏、肝脏双重清除途径,两者之间能保持平衡,药物的总体清除可保持相对稳定,显著降低了药物蓄积的危险性。

  【适 应 证】高血压;与利尿剂合用可治疗心力衰竭。

  【不良反应】本品和其他ACE抑制剂一样,在治疗过程中都会出现咳嗽症状,但本品引起咳嗽的频率和程度比其他ACE抑制剂低。其他常见的副作用还有头晕、恶心呕吐、上呼吸道症状、腹痛腹泻、心悸胸痛、皮疹瘙痒、骨胳肌疼痛、感觉异常、味觉障碍。

  【相互作用】① 本品能减少由噻嗪类利尿药诱发的血钾减少。与留钾利尿药或保钾利尿药合用,可增加高钾血症危险。② 抗酸药可影响本品吸收,所以本品和抗酸药必须分开服用,至少相隔2 h。③ 非甾体抗炎药可影响本品抗高血压作用,但同时使用福辛普利和非甾体抗炎药(包括阿司匹林)不增加临床的不良反应。④ 与其他抗高血压药,如β-受体阻滞剂、甲基多巴、钙离子拮抗剂、利尿药等合并使用可增加抗高血压药效。

  【用法用量】口服 成人和大于12岁的儿童:10 mg(最大增至40 mg),qd。

  【注意事项】① 对福辛普利过敏者、孕妇、授乳母亲禁用。② 治疗前及治疗中应对肾功能进行检测。③ 过量服用本品应监测血压,如发生低血压,则选择血容量扩张剂予以治疗。本品不能通过透析从体内排除。

  【生产单位】
  百时美施贵宝公司、批准文号:(96)卫药准字J-42号


页面功能 【参与评论】【字体: 打印文章关闭窗口
·福辛普利Fosinopril〔Ⅰ〕

栏目列表