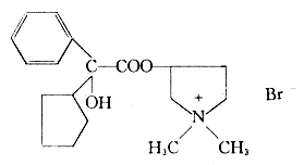
格隆溴铵 Glycopyrronium Bromide〔Ⅰ〕
(甘罗溴铵,溴环扁吡酯,胃长宁,Glvcopyrrolate Bromide,ROBINUL)

【性状】白色结晶粉末,无臭,味微苦。熔点193~198℃。易溶于水(1:5)和乙醇(1:10),几乎不溶于氯仿和乙醚。不能与碱性药物混合。应贮于密封容器中。
【药理及应用】为季铰类抗胆碱药,具有抑制胃液分泌及调节胃肠蠕动作用;本品还有比阿托品更强的抗唾液分泌作用,但没有中枢性抗胆碱活性。口服能迅速制酸解痉止痛,适用于胃及十二指肠溃疡、慢性胃炎、胃液分泌过多等症。疗效与澳丙胺太林相仿或超过。静注或肌注可用于麻醉前给药抑制腺体分泌,作用可持续约7小时。
【用法】口服:1天3~4次,每次1~2mg,饭后及睡前服。维持量每次1mg,每日2次。1次极量4mg,1日极量12mg,麻醉前给药,静注或肌注0.2~0.4mg。
【注意】副作用及不良反应与阿托品相似。服药初期可出现口干(口苦)现象,在一二周内减轻或消失。幽门梗阻、青光眼或前列腺肥大患者禁用。
【制剂】片剂:每片0.25mg;注射液:每支0.2mg(1ml)。胶囊剂:每胶囊0.5mg。
复方胃长宁:由格隆溴铵、氢氧化铝、维生素U(按1:300:100的比例)配制成的复方片剂或胶囊剂。
【贮法】密闭于阴凉处保存