您现在的位置: 首页 > 药物手册 > 药品世界 > 主要作用于中枢神经系统的药物 > 中枢兴奋药 > 正文 用户登录 注册
胞磷胆碱
繁体版

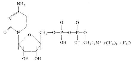
胞磷胆碱〔基〕 Citicoline〔Ⅰ〕

胞二磷胆碱,Cytidine Diphosphate Choline,CDPC)

  【药理及应用】本品为核苷衍生物,对改善脑组织代谢,促进大脑功能恢复促进苏醒有一定作用。主要用于急性颅脑外伤和脑手术后的意识障碍

  【用法】静滴:1日200~300mg,5~10日1疗程。肌注:1日200mg。

  【注意】脑内出血急性期,不宜用大剂量。

  【制剂】注射液:每支200mg(2ml)


页面功能 【参与评论】【字体: 打印文章关闭窗口

栏目列表