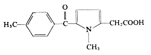
托美汀 Tolmetin〔Ⅰ〕
(痛灭定,托麦汀,TOLECTIN)

【性状】白色或微黄色结晶性粉末。无臭、无味。易溶于醇、二甲基亚砜等有机溶媒,微溶于冷水。遇硷成盐。熔点155~157℃(熔融时分解)。
【药理及应用】为吡咯醋酸的衍生物,是一新类型的消炎镇痛药。其作用与阿司匹林等其他非甾体抗炎药相似,但副作用较轻,较易为病人所耐受。动物实验证明其抗关节炎作用比阿司匹林强而比吲哚美辛和保泰松弱。其镇痛作用与布洛芬相当,比阿司匹林强而比吲哚美辛弱。解热作用亦较强。托美汀也可抑制前列腺素的合成,但这种抑制有时是可逆的。因此体外试验虽有抗血小板聚集的作用,但停药后维持时间较短。口服后吸收快而安全,服药后20~60分钟血浓度达高峰值,随后较快降低,t1/2小时。24小时内尿中排出99%,其中50%~70%为无抗炎作用的脱羧代谢物。
本品用于:①类风湿性关节炎,可减轻症状。与皮质激素类制剂合用可增加疗效、减少后者用量。但与阿司匹林类合用则不比单用二药的疗效好。用于长程治疗(2年)时仍可维持疗效。青年型类风湿性关节炎用药12周以上疗效与阿司匹林无明显差异。②强直性脊椎炎:曾报道其疗效不亚于吲哚美辛,但现有资料尚不能肯定。③髋关节或膝关节退行性病变:本品600~1200mg的疗效与吲哚美辛75~150mg或阿司匹林4.5g相似,但亦需进一步观察。④非关节性疼痛:可有效地减轻外伤、疾病及手术引起的软组织疼痛以及内脏合并症引起的疼痛。
【用法】口服,成人开始用量为1次400mg,1日3次。奏效后再根据病情调整剂量,一般为每日600~1800mg。儿童开始为1日15~30mg/kg,平均为1日20mg/kg,奏效后根据病情调整剂量。非关节性疼痛为每日600mg。
【注意】
(1)每日服用1200mg时的不良反应总发生率为25%~40%,一般较易耐受,因副作用而停药者约5~8%。最常见的反应为上腹部不适,食欲不振,恶心和呕吐,但均不如阿司匹林严重。
(2)可损害胃及小肠粘膜,偶见胃肠道出血,但亦较阿司匹林为轻。
(3)中枢神经系统方面有头痛、头晕、耳鸣、耳聋等,但比吲哚美辛少见。
(4)其他尚有面部潮红、荨麻疹和水肿等。
(5)与血浆蛋白结合率很高(99%),但不影响口服抗凝血药和降血糖药的作用。
(6)酸沉淀法检查尿蛋白时,可因其代谢物而引起假阳性反应。
(7)有溃疡病史者慎用,有出血倾向者忌用。
【制剂】片剂:每片200mg。