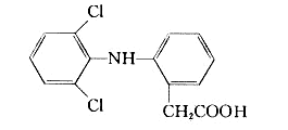
双氯芬酸〔基〕 Diclofenac〔Ⅰ〕
(双氯灭痛,扶他林,VOLTAREN)

【性状】常用其钠盐,为无色结晶性粉末。熔点282~285℃。可溶于水。
【药理及应用】为一种新型的强效消炎镇痛药,其镇痛、消炎及解热作用比吲哚美辛强2~2.5倍,比阿司匹林强26~50倍。特点为药效强,不良反应少,剂量小,个体差异小。口服吸收迅速,服后1~2小时内血浓度达峰值。排泄快,长期应用无蓄积作用。用于类风湿性关节炎、神经炎、红斑狼疮及癌症、手术后疼痛,以及各种原因引起的发热。
【用法】口服,每次25mg,每日3次;栓剂,每次50mg,每日2次;肌注,每次75mg,每日1次,深部臀肌注射。
【注意】
(1)可引起胃肠道紊乱、头晕、头痛及皮疹。
(2)肝、肾损害或有溃疡病史者慎用。
(3)妊娠头三个月避免使用。
【制剂】片剂:每片25mg。栓剂:每粒50mg。注射液:每支75mg(2ml)。乳胶剂:1%。
凯扶兰(双氯芬酸钾,CATAFLAM)口片剂:每片25mg;50mg。栓剂:12.5mg;25mg;75mg。口服液:每瓶15mg。注射液:75mg(3ml)。