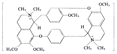
氯甲左箭毒 Dimethyl-L-curine dimethochloride
(氯甲二甲左箭毒次碱,银不换Ⅱ)

为防己科植物海南轮环藤(Cyclea hainanensis)中的生物碱,提取后经甲基化处理制成。
【性状】乳白色结晶粉末,易溶于水和醇,不溶于乙醇和氨仿。加热至220℃时分解并释出气体。
【药理及应用】为一非去极化型肌肉松弛剂,作用及其原理均与筒箭毒碱相似,但对动物的治疗指数为筒箭毒碱的1.4倍。临床试用于静脉复合麻醉、中药麻醉及乙醚麻醉,也用于气管插管、胸部手术、腹部手术,效果良好。生效快,持续时间30~60分钟。
【用法】静注0.4~0.5mg/kg,静滴0.2~0.3mg/kg。也可根据需要追加剂量。
【注意】不良反应较小。试用过程中个别患者用药累计量达100mg时未见毒性反应。部分患者血压轻度上升或下降,心率稍增快(每分增10次左右),呼吸减慢。对心电图及肝、肾功能未见明显影响。