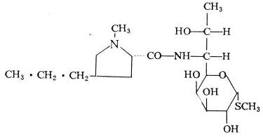
林可霉素〔典〕 Lincomycin
(洁霉素)

由链霉菌Streptomyces lincolnensis产生的一种林可胺类(lincosamides)碱性抗生素。
【性状】常用其盐酸盐,为白色结晶性粉末;几有微臭或特殊臭;味苦。在水或甲醇中易溶,在乙醇中略溶。其10%水溶液的pH为3.0~5.5;性质较稳定。
【药理及应用】抑制细菌的蛋白质合成,对大多数革兰阳性菌和某些厌氧的革兰阴性菌有抗菌作用。对革兰阳性菌的抗菌作用类似红霉素,敏感菌可包括肺炎链球菌、化脓性链球菌、绿色链球菌、金黄色葡萄球菌、白喉杆菌等。厌氧菌对本品敏感者包括拟杆菌属、梭杆菌、丙酸杆菌、真杆菌、双歧杆菌、消化链球菌、多数消化球菌、产气荚膜杆菌、破伤风杆菌、以及某些放线菌等。对粪链球菌、某些梭状芽胞杆菌、奴卡菌、酵母菌、真菌和病毒均不敏感。葡萄球菌对本品可缓慢地产生耐药性。对红霉素耐药的葡萄球菌对本品常显示交叉耐药性。
口服500mg后,吸收迅速,2~4小时内血药浓度达峰,对多数革兰阳性菌可维持最低抑菌浓度(MIC)达6~8小时。肌注600mg,半小时血药浓度达峰,至24小时尚可检出。本品600mg于5%葡萄糖液500ml中滴注2小时,有效血药浓度约可维持14小时。少部分自尿排泄,胆汁则是主要排泄途径。体内分布广,可进入一些主要脏器和组织中,在唾液、痰、骨组织和关节中可达有效浓度,并可透过胎膜和进入乳汁,但不易透过正常人脑膜。t1/2为4~5.4小时。
主要用于葡萄球菌、链球菌、肺炎链球菌引起的呼吸道感染、骨髓炎、关节和软组织感染、胆道感染及败血症。对一些厌氧菌感染也可应用。外用治疗革兰阳性菌化脓性感染。
【用法】
(1)口服:成人,1次0.25~0.5(活性),1日3~4次;小儿1日30~50mg(活性)/kg,分3~4次服用。
(2)肌注:成人1日0.6g(活性),1日1.2~1.8g(活性)。小儿1日10~20mg(活性)/kg,分2~3次给药。
(3)静滴:成人1次0.6g(活性),溶于100~200ml输液内,滴注1~2小时,每8~12小时1次。
【注意】
(1)可引起消化道反应如恶心、呕吐、舌炎、肛门瘙痒等。长期使用可致伪膜性肠炎,此由于难辨梭状芽胞杆菌滋生引起,其先驱症状为腹泻。遇此症状应立即停药,必要时可用去甲万古霉素治疗。
(2)尚可导致过敏反应,如皮疹、荨麻疹、多形性红斑以及白细胞减少、血小板减少等。
(3)可致氨基转移酶升高、黄疸等。肝功能不全者慎用。长期应用应定期检查血象和肝功能。
(4)不可直接推注,进药速度过快可致心搏暂停和低血压。静脉给药时,每0.6~1g本品需用100ml以上输液稀释,滴注时间不少于1小时。
(5)尚有耳鸣、眩晕等副作用。
(6)孕妇及授乳妇女慎用。
(7)1月龄以下的新生婴儿禁用。
【制剂】片(胶囊)剂:每片(或胶囊)0.25(活性);0.5g(活性)。注射液:每支0.2g(活性)(1ml);0.6g(活性)(2ml)。滴眼液:每支3%(8ml)。