您现在的位置: 首页 > 药物手册 > 药品世界 > 抗微生物药物 > 抗结核病药 > 正文 用户登录 注册
硫酸链霉素
繁体版

硫酸链霉素

  【药物名称】硫酸链霉素  Streptomycin Sulfate[基]

  【药物别名】  Strepolin

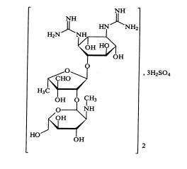
  【分子式成分】化学名为O-2-甲氨基-2-脱氧-a-L-葡吡喃糖基-(1→2)-O-5-脱氧-3-C-甲酰基-a-L-来苏呋喃糖基-(1→4)-N 1,N 3-二脒基-D-链霉胺硫酸盐。分子式:(C21H39N7O12)2·3H2SO4。分子量:1457.40。

  【制剂规格】粉针剂:0.75g,1g,2g,5g。(1g =100万U)

  【药理毒理】硫酸链霉素为一种氨基糖苷类抗生素。链霉素对结核分枝杆菌有强大抗菌作用,其最低抑菌浓度一般为0.5mg/ml。非结核分枝杆菌对本品大多耐药。链霉素对许多革兰阴性杆菌如大肠埃希菌、克雷伯菌属、变形杆菌属、肠杆菌属、沙门菌属、志贺菌属、布鲁菌属、巴斯德杆菌属等也具抗菌作用;脑膜炎奈瑟菌和淋病奈瑟菌亦对本品敏感。链霉素对葡萄球菌属及其他革兰阳性球菌的作用差。各组链球菌、铜绿假单胞菌和厌氧菌对本品耐药。
  链霉素主要与细菌核糖体30S亚单位结合,抑制细菌蛋白质的合成。细菌与链霉素接触后极易产生耐药性。链霉素和其他抗菌药物或抗结核药物联合应用可减少或延缓耐药性的产生。

  【药 动 学】肌内注射后吸收良好。主要分布于细胞外液,并可分布至除脑以外的全身器官组织,本品到达脑脊液、脑组织和支气管分泌液中的量很少;但可到达胆汁、胸水、腹水、结核性脓肿和干酪样组织,并可通过胎盘进入胎儿组织。蛋白结合率20%~30%。血消除半衰期(T1/2b)2.4~2.7小时,肾功能减退时可显著延长。本品在体内不代谢,主要经肾小球滤过排出,给药后24小时尿中排出80%~98%,约1%从胆汁排出,少量从乳汁、唾液和汗液中排出。本品可经血液透析清除相当量。

  【适 应 证】用于兔热症、鼠疫、严重布氏杆菌病和鼻疽的治疗(常与四环素氯霉素合用)。也用于结核病的二线治疗,多与其它抗结核药合用。

  【不良反应】1.血尿、排尿次数减少或尿量减少、食欲减退、口渴等肾毒性症状,少数可产生血液中尿素氮及肌酐值增高。
  2.影响前庭功能时可有步履不稳、眩晕等症状;影响听神经出现听力减退、耳鸣、耳部饱满感。
  3.部分患者可出现面部或四肢麻木、针刺感等周围神经炎症状。
  4.偶可发生视力减退(视神经炎),嗜睡、软弱无力、呼吸困难等神经肌肉阻滞症状。
  5.偶可出现皮疹、瘙痒、红肿。少数患者停药后仍可发生听力减退、耳鸣、耳部饱满感等耳毒性症状,应引起注意。

  【相互作用】1.本品与其他氨基糖苷类合用或先后连续局部或全身应用,可增加其产生耳毒性、肾毒性以及神经肌肉阻滞作用的可能性。
   2.本品与神经肌肉阻断药合用,可加重神经肌肉阻滞作用。本品与卷曲霉素顺铂依他尼酸呋塞米万古霉素(或去甲万古霉素)等合用,或先后连续局部或全身应用,可能增加耳毒性与肾毒性。
   3.本品与头孢噻吩或头孢唑林局部或全身合用,可能增加肾毒性。
   4.本品与粘菌素类注射剂合用,或先后连续局部或全身应用,可增加肾毒性和神经肌肉阻滞作用。
   5.其他肾毒性药物及耳毒性药物均不宜与本品合用或先后应用,以免加重肾毒性或耳毒性。

  【用法用量】1.成人常用量 
  (1)肌内注射,一次0.5g(以链霉素计,下同),每12小时1次,与其他抗菌药物合用;细菌性(草绿链球菌)心内膜炎,肌内注射,每12小时1g,与青霉素合用,连续1周,继以每12小时0.5g,连续1周;60岁以上的患者应减为每12小时0.5g,连续2周。
  (2)肠球菌性心内膜炎,肌内注射,与青霉素合用,每12小时1g,连续2周,继以每12小时0.5g,连续4周。 
  (3)鼠疫,肌内注射,一次0.5~1g,每12小时1次,与四环素合用,疗程10日。
  (4)土拉菌病,肌内注射,每12小时0.5~1g,连续7~14日。
  (5)结核病,肌内注射,每12小时0.5g,或1次0.75g,一日1次,与其他抗结核药合用;如采用间歇疗法,即每周给药2~3次,每次1g;老年患者肌内注射,一次0.5~0.75g,一日1次。
  (6)布鲁菌病,每日1~2g,分2次肌内注射,与四环素合用,疗程3周或3周以上。
  2.小儿常用量肌内注射,按体重每日15~25mg/kg,分2次给药;治疗结核病,按体重20mg/kg,一日1次,每日最大剂量不超过1g,与其他抗结核药合用。
  3.肾功能减退患者:按肾功能正常者链霉素的正常剂量为每日1次,15mg/kg肌内注射。肌酐清除率>50~90ml/min,每24小时给予正常剂量的50%;肌酐清除率为10~50ml/min,每24~72小时给正常剂量的50%;肌酐清除率<10ml/min,每72~96小时给予正常剂量的50%。

  [药物过量]: 由于缺少特异性拮抗剂,本品过量或引起毒性反应时,主要用对症疗法和支持疗法,同时补充大量水分。血液透析或腹膜透析有助于从血中清除链霉素。

  【注意事项】妊娠D类。妊娠、哺乳期妇女禁用。对链霉素或其他氨基糖苷类过敏的患者禁用。肾功能障碍应及时调整剂量。脑神经损害、重症肌无力震颤麻痹等患者慎用。

   1.交叉过敏对一种氨基糖苷类过敏的患者可能对其他氨基糖苷类也过敏。
   2.下列情况应慎用链霉素:
   (1)失水,可使血药浓度增高,易产生毒性反应。
   (2)第8对脑神经损害,因本品可导致前庭神经和听神经损害。
   (3)重症肌无力或帕金森病,因本品可引起神经肌肉阻滞作用,导致骨骼肌软弱。
   (4)肾功能损害,因本品具有肾毒性。
   3.疗程中应注意定期进行下列检查
   (1)尿常规和肾功能测定,以防止出现严重肾毒性反应。
   (2)听力检查或听电图(尤其高频听力)测定,这对老年患者尤为重要。
   4.有条件时应监测血药浓度,并据此调整剂量,尤其对新生儿、年老和肾功能减退患者。每12小时给药7.5mg/kg者应使血药峰浓度维持在15~30mg/ml,谷浓度5~10mg/ml;一日1次给药15mg/kg者应使血药峰浓度维持在56~64mg/ml,谷浓度<1mg/ml。
   5.对诊断的干扰:本品可使丙氨酸氨基转移酶(ALT)、门冬氨酸氨基转移酶(AST)、血清胆红素浓度及乳酸脱氢酶浓度的测定值增高;血钙、镁、钾、钠浓度的测定值可能降低。
  [孕妇及哺乳期妇女用药] 
  本品属孕妇用药D类,即对人类有危害,但用药后可能利大于弊。本品可穿过胎盘进入胎儿组织。据报道孕妇应用本品后曾引起胎儿听力损害。因此妊娠妇女在使用本品前必须充分权衡利弊。哺乳期妇女用药期间宜暂停哺乳。
  [儿童用药] 
  本品属氨基糖苷类,在儿科中应慎用,尤其早产儿及新生儿的肾脏组织尚未发育完全,使本类药物的半衰期延长,药物易在体内积蓄而产生毒性反应。
  [老年患者用药] 
  老年患者应用氨基糖苷类后易产生各种毒性反应,应尽可能在疗程中监测血药浓度。老年患者的肾功能有一定程度生理性减退,即使肾功能测定值在正常范围内仍应采用较小治疗量。

  【生产单位】资料暂缺


页面功能 【参与评论】【字体: 打印文章关闭窗口
·硫酸钡(Ⅱ型)干混悬剂
·硫酸钡(Ⅰ型)干混悬剂
·硫酸钡〔典〕〔基〕BariumSulfate
·硫酸新霉素
·硫酸链霉素滴鼻剂

栏目列表