您现在的位置: 首页 > 药物手册 > 药品世界 > 抗微生物药物 > 抗病毒药 > 正文 用户登录 注册
扎那米韦
繁体版

扎那米韦

  【药物名称】扎那米韦  zanamivir

  【药物别名】  Relenza

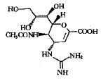
  【分子式成分】化学名为:5-乙酰氨基-4-[(氨基亚氨基甲基)-氨基]-2,6-氢-3,4,5-三去氧-D-丙三醇基-D-半乳糖-2-烯醇酸。分子式C12H20N4O7,相对分子质量332.3。本品为白色或灰白色粉末,20℃时水中的溶解度约为18 mg.ml-1。分子结构如下。

  【制剂规格】片剂:5mg。

  【药理毒理】美国FDA于1999年8月批准用于治疗A型和B型流感。它是自1993年金刚乙胺获准上市后第一个获得许可的流感治疗药物,将由葛兰素威康公司推向市场。

  本品通过抑制流感病毒的神经氨酸酶,从而改变了流感病毒在感染细胞内的聚集和释放。体外试验时发现,当药物浓度不断增加时,仍有流感病毒对扎那米韦的敏感性下降。经分析,这与病毒突变引起神经氨酸酶及血细胞凝集素二者或其一的氨基酸发生改变有关。

  【药 动 学】口腔吸入本品10 mg后,1~2 h内4%~17%的药物被全身吸收,药物峰浓度范围17~142 ng.ml-1,药时曲线下面积为111~1364 ng.h.ml-1。本品的血浆蛋白结合率低于10%。药物以原形在24 h内由肾排出,尚未检测到其代谢物。血清半衰期为2.5~5.1 h不等。总清除率为2.5~10.9 L.h-1。
  轻(中)度或重度肾功能不良的患者分别静脉输注扎那米韦4 mg或2 mg后,肾清除率明显下降:正常人总清除率平均为5.3 L.h-1,轻(中)度肾功能不良者为2.7 L.h-1,重度肾功能不良者为0.8 L.h-1。半衰期明显增加:正常人平均为3.1 h,轻(中)度肾功能不良者为4.7 h,重度肾功能不良者为18.5 h。

  【适 应 证】成年患者和12岁以上的青少年患者,治疗由A型和B型流感病毒引起的流感。

  【不良反应】本品对哮喘或慢性阻滞性肺疾病患者治疗无效,甚至可能引起危险。文献报告使用本品后,轻度或中度哮喘患者可引起支气管痉挛,引起支气管痉挛的患者应停药并通知其主治医生。患有呼吸道疾病的患者服用扎那米韦时,身边应备有吸入型速效支气管扩张药。
  服用此药的其它不良反应包括:头痛、腹泄、恶心、呕吐眩晕等。发生率低于2%,多为轻度反应。
  动物试验表明:扎那米韦不会致癌、致畸、致突变,未见生殖毒性。扎那米韦在动物试验中能通过胎盘屏障,胎儿血药浓度明显低于母体。目前缺乏充分有效的研究结果证实怀孕妇女体内药物动力学,使用时应权衡对胎儿的影响。哺乳大鼠的乳汁中测得扎那米韦存在。但是,人乳汁中药物是否存在尚不肯定,哺乳妇女使用此药应慎重。该药物对老人及12岁以下儿童的不良反应尚不确定。
  体外研究未见本品有明显的药物相互作用,本品不影响肝脏微粒体酶,也不是P450酶的底物。

  【用法用量】本品经口吸入给药。使用前患者应在其主治医生的指导下学习吸入剂正确使用,可能的话应由医师示范使用方法。患者也要仔细阅读并遵守药品包装内的使用说明。
  本品可用于成年患者和12岁以上的青少年患者,每日两次,间隔约12 h。每次10 mg,分两次吸入,一次5 mg。连用5 d。随后数日两次的服药时间应尽可能保持一致,剂量间隔12 h(如早晨或傍晚)。
  患者即使感到症状好转也应完成5 d疗程,并应被告知服用扎那米韦不能减少流感传染的危险性。
  服用本品时,使用1种呼吸驱动的塑料吸入装置Dishkhaler。此装置可装入1片Relenza Rotodisk,每片Rotodisk含有4个泡囊,每个泡囊含Relenza(5 mg)和乳糖(20 mg)的混合粉末。使用时,将Relenza Rotodisk放入该吸入装置,当患者通过嘴吸入时,泡囊被刺穿,药物随气流释放出来。
  本品是否可预防流感尚不清楚。

  【注意事项】对该药物处方中的任何成分过敏者禁用。

  【生产单位】资料暂缺


页面功能 【参与评论】【字体: 打印文章关闭窗口

栏目列表