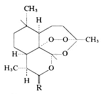
青蒿素〔典〕 Artemisinin
(黄蒿素,Arteannuin)

青蒿素 R=0
蒿甲醚 R=OCH3
双氢青高素 R=OH
本品为我国首次从黄花蒿(Artemisia annua)中提出的一种新的抗疟有效成分。经普查,发现广西、四川、海南等地所产黄花蒿中,青蒿素含量较高。
【性状】为无色针状结晶,味苦。在丙酮、醋酸乙酯、氯仿、苯或冰醋酸中易溶,在甲醇、乙醇、稀乙醇、乙醚及石油醚中溶解,在水中几乎不溶。熔点150~153℃。
【药理及应用】为一种高效、速效的抗疟药,主要作用于疟原虫的红内期,用于间日疟,恶性疟特别是抢救脑型疟有良效,其退热时间及疟原虫转阴时间都较氯喹短,对氯喹有抗药性的疟原虫,使用本品亦有效。但对间日疟原虫的近期复燃率比氯喹高20%~30%。与伯氨喹合并应用,可使复燃率降至10%左右。本品对血吸虫亦有杀灭作用。
【用法】
(1)直肠给药:1次0.4~0.6g,1日0.8~1.2g。
(2)深部肌注:第1次200mg,6~8小时后再给100mg,第2,3日各肌注100mg,总剂量500mg(个别重症第4天再给100mg)。或连用3日,每日肌注300mg,总量900mg。小儿15mg/kg,按上述方法3日内注完。
(3)口服:先服1g,6~8小时再服0.5g,第2,3日各服0.5g,疗程3日,总量为2.5g。小儿15mg/kg,按上述方法3日内服完。
【注意】
(1)注射部位较浅时,易引起局部疼痛和硬块。
(2)个别病人可出现一过性氨基转移酶升高及轻度皮疹。
(3)少数病例有轻度恶心、呕吐、腹泻等副反应,不加治疗可很快恢复正常。
(4)妊娠早期妇女慎用。
【制剂】油注射液:每支50mg(2ml);100mg(2ml);200mg(2ml);300mg(2ml)。水混悬注射液:每支300mg(2ml)。片剂:每片50mg;100mg。