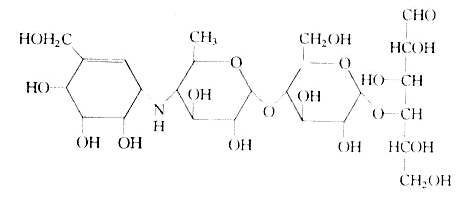
阿卡波糖 Acarbose〔Ⅰ〕

【药物别名】拜糖平、抑葡萄糖苷酶、卡博平 Glucobay
【制剂规格】片剂:50mg。
【药理毒理】为一种新型口服降糖药。在肠道内竞争性抑制葡萄糖甙水解酶。降低多糖及蔗糖分解成葡萄糖,使糖的吸收相应减缓,因此可具有使饭后血糖降低的作用。
一般单用,或与其它口服降血糖药,或胰岛素合用。配合餐饮,治疗胰岛素依赖型或非依赖型糖尿病。
【药 动 学】口服被胃肠淀粉酶广泛地代谢,消除T1/2为2.8h。
【适 应 证】糖尿病、倾倒综合征(Dumping
【不良反应】偶有胀气、腹泻等胃肠功能紊乱及瘙痒等皮肤反应。也有引起肝功损害和致死的报道。
【相互作用】本药与磺酰脲类药物,二甲双胍或胰岛素合用时,血糖浓度降到低血糖范围,则应适当减少磺酰脲、二甲双胍或胰岛素的剂量。应避免与抗酸药、消胆胺、肠道吸附剂和消化酶制品同时服用,因为它们有可能降低本药的作用。
【用法用量】口服,开始50mg/次,以后100mg~200mg/次,3次/日,饭前服用。
【注意事项】对本品过敏者禁用,有明显消化、吸收障碍的慢性肠功能紊乱者及18岁以下儿童、孕妇、哺乳期妇女慎用。
对阿卡波糖过敏者,有明显消化、吸收障碍的慢性肠功能紊乱者,由于肠胀气而可能恶化的情况 (如Roemheld综合征、严重的疝气、肠梗阻和肠溃疡之患者)禁用。
对妊娠和哺乳的影响 因为没有本药用于孕妇方面的资料,所以怀孕期间禁服。给泌乳期的大鼠服用经放射标记的阿卡波糖后,在乳汁中发现少量的放射标记物。到目前为止,在人体中尚无类似的发现,然而不能排除乳汁中阿卡波糖对婴儿产生的影响,因此在哺乳期不要服用本药。
对儿童的影响 对儿童和青少年的疗效及耐受性方面的有关资料还不完全,所以不能用于18岁以下的病人禁用。
【生产单位】
拜耳医药保健有限公司