您现在的位置: 首页 > 药物手册 > 药品世界 > 各临床科室备用药物 > 眼科用药 > 正文 用户登录 注册
盐酸金霉素眼膏
繁体版

盐酸金霉素眼膏

  【药物名称】盐酸金霉素眼膏  Chlortetracycin Hydrochloride Eye Ointment

  【药物别名】氯四环素  Aureomycin

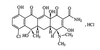
  【分子式成分】化学名为6-甲基-4-(二甲氨基)-3,6,10,12,12a,-五羟基-1,11-二氧代-7-氯-1,4,4a,5,5a,6,11,12a-八氢-2-并四苯甲酰胺盐酸盐。分子式:C22H23ClN2O8·HCl。分子量:515.35。

  【制剂规格】眼膏剂:5%。0.5%(g/g)

  【药理毒理】本品为四环素类抗生素,许多立克次体属、支原体属、衣原体属、非典型分枝杆菌属、螺旋体对本品敏感。肠球菌属对其耐药。多年来由于四环素类的广泛应用,临床常见病原菌对金霉素耐药现象严重,葡萄球菌等革兰阳性菌及多数肠杆菌科细菌耐药。本品与四环素类不同品种之间存在交叉耐药.本品作用机制为药物能特异性与细菌核糖体30S亚基的A位置结合,抑制肽链的增长和影响细菌蛋白质的合成。

  【药 动 学】本品为局部用药,很少吸收。

  【适 应 证】急性沙眼、结膜炎、角膜炎等。

  【不良反应】少见,应用本品后可感到视力模糊。应用时耐药菌株可过度生长。

  【用法用量】涂于眼睑内,一日3次。

  【注意事项】有四环素类药物过敏史者禁用。 急性或慢性沙眼的疗程应为1~2月或更长,眼膏可作为夜间治疗用药,以保持感染部位与药物接触较长时间。

  【生产单位】资料暂缺


页面功能 【参与评论】【字体: 打印文章关闭窗口
·盐酸纳洛酮
·盐酸青霉胺
·盐酸吡硫醇
·盐酸丁卡因
·盐酸萘甲唑啉滴鼻剂

栏目列表