您现在的位置: 首页 > 药物手册 > 药品世界 > 各临床科室备用药物 > 眼科用药 > 正文 用户登录 注册
红霉素滴眼液
繁体版

红霉素滴眼液

  【药物名称】红霉素滴眼液(膏)  Erythromycin[基]

  【药物别名】  Ilotycin,Robimycin

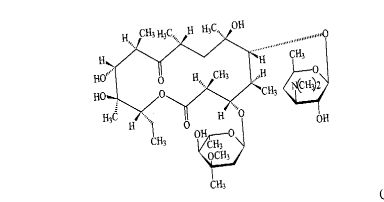
  【分子式成分】分子式:C37H67NO13。分子量:733.94

  【制剂规格】眼膏:25mg/5g。滴眼液:8ml:0.5%。

  【药理毒理】本品为大环内酯类抗生素,抗菌谱和青霉素相似,主要是对革兰阳性菌如金葡菌、溶血性链球菌、肺炎球菌、白喉杆菌、炭疽杆菌及梭形芽胞杆菌等,均有强大抗菌作用。对革兰阴性菌如脑膜炎双球菌、淋球菌、百日咳杆菌、流感杆菌、布氏杆菌、部分痢疾杆菌及大肠杆菌等有一定作用。特点是对青霉素产生耐药性的菌株,对本品敏感。作用机制主要是与核糖核蛋白体的50S亚单位相结合,抑制肽酰基转移酶,影响核糖核蛋白体的移位过程,妨碍肽链增长,抑制细菌蛋白质的合成,系抑菌剂。

  【药 动 学】本品局部用药后很少吸收入血

  【适 应 证】沙眼、结膜炎、角膜炎。预防新生儿淋球菌及沙眼衣原体眼部感染。

  【不良反应】可出现眼部刺激、发红及其他过敏反应。

  【相互作用】可升高茶碱卡马西平、华法令、环孢素三唑仑、甲泼尼松地高辛等血药浓度,须监测相应药物血药浓度。与酒石酸麦角胺(ergotamine tartrate)合用,可致急性麦角胺中毒,表现为末梢血管痉挛。不宜与繁殖期杀菌剂(如β内酰胺类抗生素)同时应用,若确系必需,须相隔数小时。注射剂不宜与复合维生素B、维生素C、头孢菌素、四环素粘菌素E(colistin)、氯霉素肝素间羟胺、苯妥英等配伍。

  【用法用量】涂于眼睑内或滴眼,一日多次。

  【注意事项】对红霉素过敏者禁用。

  【生产单位】资料暂缺


页面功能 【参与评论】【字体: 打印文章关闭窗口
·红霉素眼膏
·红霉素软膏
·红霉素
·红霉素片

栏目列表