肾上腺素具戊酯 Dipivefrine〔Ⅰ〕
(地匹福林,PROPINE,DIOPINE)

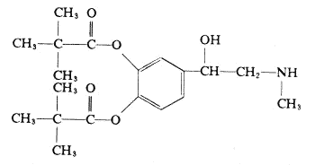
系肾上腺素和异成酸所形成的双酯化合物。
【药理及应用】作用与肾上腺素相似,但比肾上腺素更具有亲脂性,因而能更好地渗入前房,在限内被酶水解成肾上腺素。由于比肾上腺素易于吸收,故少量药物即可发挥较大疗效,其副作用也较肾上腺素低。
主要适用于控制慢性开角型青光眼的限内压,常使用于其他药物疗效不佳的患者。由于刺激性较小,对肾上腺素不能耐受的病人,多能耐受本品。
0.1%滴眼剂1日2次滴眼,与2%肾上腺素1日2次滴眼相比,疗效稍差,而与2%毛果芸香碱1日4次滴眼的疗效相等。滴眼后30分钟内发生作用,1小时后作用达高峰。
【用法】0.1%滴眼剂,每12小时滴1次,每次1滴。
【注意】
(1)滴后常有烧灼或刺痛感;有的病人还由于畏光、目眩和对光敏感而感到不适。
(2)禁用于闹角型青光眼。
(3)可能引起肾上腺素的各种副反应,宜注意。
【制剂】0.1%滴眼剂:每支5ml;8ml。